Крупнейшая бесплатная информационно-справочная система онлайн доступа к полному собранию технических нормативно-правовых актов РФ. Огромная база технических нормативов (более 150 тысяч документов) и полное собрание национальных стандартов, аутентичное официальной базе Госстандарта. GOSTRF.com - это более 1 Терабайта бесплатной технической информации для всех пользователей интернета. Все электронные копии представленных здесь документов могут распространяться без каких-либо ограничений. Поощряется распространение информации с этого сайта на любых других ресурсах. Каждый человек имеет право на неограниченный доступ к этим документам! Каждый человек имеет право на знание требований, изложенных в данных нормативно-правовых актах!

  


 

ГОСТ Р МЭК 61850-7-1-2009

Сети и системы связи на подстанциях. Часть 7. Базовая структура связи для подстанций и линейного оборудования. Раздел 1. Принципы и модели

Обозначение:ГОСТ Р МЭК 61850-7-1-2009
Текущий статус документа: действующий
Название документа рус.:Сети и системы связи на подстанциях. Часть 7. Базовая структура связи для подстанций и линейного оборудования. Раздел 1. Принципы и модели
Название документа англ.:Communication networks and systems in substations. Part 7. Basic communication structure for substation and feeder equipment. Section 1. Principles and models
Дата актуализации текста:01.12.2013
Дата издания:18.05.2011
Дата введения:01.01.2011
Дата последнего изменения:22.05.2013
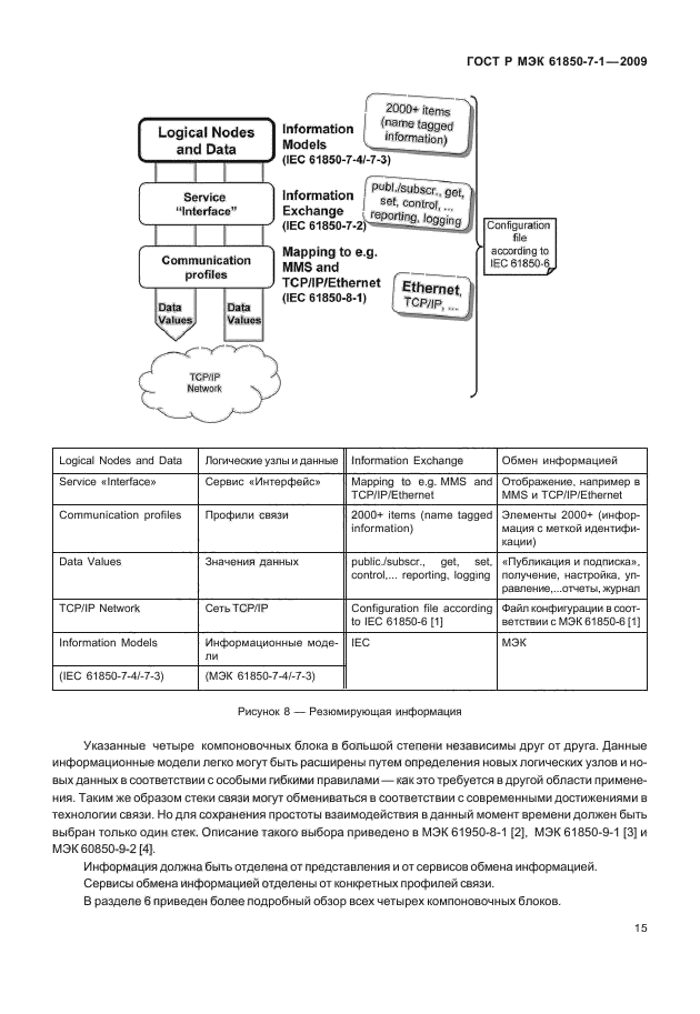
Область применения:В настоящем стандарте представлены методы моделирования, принципы связи и информационные модели, используемые в серии стандартов МЭК 61850-7. Цель настоящего стандарта заключается в осуществлении - с концептуальной точки зрения - содействия в понимании основных концепций моделирования и методов описания для:
- информационных моделей подстанций для систем автоматизации подстанций;
- функции устройств, используемых в автоматизации подстанций;
- систем связи для обеспечения взаимодействия в пределах подстанций.
Кроме того, в настоящем стандарте приведены объяснения и изложены подробные требования в отношении связи между МЭК 61850-7-4, МЭК 61850-7-3, МЭК 61850-7-2 и МЭК 61850-5. Объяснено также, как абстрактные сервисы и модели серии стандартов МЭК 61850-7 отображаются в конкретных протоколах связи в соответствии с описанием, приведенным в МЭК 61850-8-1[2].
Концепции и модели, включенные в настоящий стандарт, также могут быть применены при описании информационных моделей и функций в целях:
- обмена информацией между подстанциями;
- обмена информацией между подстанцией и центром управления;
- обмена информацией для распределительной автоматики;
- обмена информацией по измерениям;
- контроля состояния и диагностики;
- обмена информацией с техническими системами для конфигурирования устройств
ГОСТ Р МЭК 61850-7-1-2009ГОСТ Р МЭК 61850-7-1-2009ГОСТ Р МЭК 61850-7-1-2009ГОСТ Р МЭК 61850-7-1-2009ГОСТ Р МЭК 61850-7-1-2009ГОСТ Р МЭК 61850-7-1-2009ГОСТ Р МЭК 61850-7-1-2009ГОСТ Р МЭК 61850-7-1-2009ГОСТ Р МЭК 61850-7-1-2009ГОСТ Р МЭК 61850-7-1-2009ГОСТ Р МЭК 61850-7-1-2009ГОСТ Р МЭК 61850-7-1-2009ГОСТ Р МЭК 61850-7-1-2009ГОСТ Р МЭК 61850-7-1-2009ГОСТ Р МЭК 61850-7-1-2009ГОСТ Р МЭК 61850-7-1-2009ГОСТ Р МЭК 61850-7-1-2009ГОСТ Р МЭК 61850-7-1-2009ГОСТ Р МЭК 61850-7-1-2009ГОСТ Р МЭК 61850-7-1-2009ГОСТ Р МЭК 61850-7-1-2009ГОСТ Р МЭК 61850-7-1-2009ГОСТ Р МЭК 61850-7-1-2009ГОСТ Р МЭК 61850-7-1-2009ГОСТ Р МЭК 61850-7-1-2009ГОСТ Р МЭК 61850-7-1-2009ГОСТ Р МЭК 61850-7-1-2009ГОСТ Р МЭК 61850-7-1-2009ГОСТ Р МЭК 61850-7-1-2009ГОСТ Р МЭК 61850-7-1-2009ГОСТ Р МЭК 61850-7-1-2009ГОСТ Р МЭК 61850-7-1-2009ГОСТ Р МЭК 61850-7-1-2009ГОСТ Р МЭК 61850-7-1-2009ГОСТ Р МЭК 61850-7-1-2009ГОСТ Р МЭК 61850-7-1-2009ГОСТ Р МЭК 61850-7-1-2009ГОСТ Р МЭК 61850-7-1-2009ГОСТ Р МЭК 61850-7-1-2009ГОСТ Р МЭК 61850-7-1-2009ГОСТ Р МЭК 61850-7-1-2009ГОСТ Р МЭК 61850-7-1-2009ГОСТ Р МЭК 61850-7-1-2009ГОСТ Р МЭК 61850-7-1-2009ГОСТ Р МЭК 61850-7-1-2009ГОСТ Р МЭК 61850-7-1-2009ГОСТ Р МЭК 61850-7-1-2009ГОСТ Р МЭК 61850-7-1-2009ГОСТ Р МЭК 61850-7-1-2009ГОСТ Р МЭК 61850-7-1-2009ГОСТ Р МЭК 61850-7-1-2009ГОСТ Р МЭК 61850-7-1-2009ГОСТ Р МЭК 61850-7-1-2009ГОСТ Р МЭК 61850-7-1-2009ГОСТ Р МЭК 61850-7-1-2009ГОСТ Р МЭК 61850-7-1-2009ГОСТ Р МЭК 61850-7-1-2009ГОСТ Р МЭК 61850-7-1-2009ГОСТ Р МЭК 61850-7-1-2009ГОСТ Р МЭК 61850-7-1-2009ГОСТ Р МЭК 61850-7-1-2009ГОСТ Р МЭК 61850-7-1-2009ГОСТ Р МЭК 61850-7-1-2009ГОСТ Р МЭК 61850-7-1-2009ГОСТ Р МЭК 61850-7-1-2009ГОСТ Р МЭК 61850-7-1-2009ГОСТ Р МЭК 61850-7-1-2009ГОСТ Р МЭК 61850-7-1-2009ГОСТ Р МЭК 61850-7-1-2009ГОСТ Р МЭК 61850-7-1-2009ГОСТ Р МЭК 61850-7-1-2009ГОСТ Р МЭК 61850-7-1-2009ГОСТ Р МЭК 61850-7-1-2009ГОСТ Р МЭК 61850-7-1-2009ГОСТ Р МЭК 61850-7-1-2009ГОСТ Р МЭК 61850-7-1-2009ГОСТ Р МЭК 61850-7-1-2009ГОСТ Р МЭК 61850-7-1-2009ГОСТ Р МЭК 61850-7-1-2009ГОСТ Р МЭК 61850-7-1-2009ГОСТ Р МЭК 61850-7-1-2009ГОСТ Р МЭК 61850-7-1-2009ГОСТ Р МЭК 61850-7-1-2009ГОСТ Р МЭК 61850-7-1-2009ГОСТ Р МЭК 61850-7-1-2009ГОСТ Р МЭК 61850-7-1-2009ГОСТ Р МЭК 61850-7-1-2009ГОСТ Р МЭК 61850-7-1-2009ГОСТ Р МЭК 61850-7-1-2009ГОСТ Р МЭК 61850-7-1-2009ГОСТ Р МЭК 61850-7-1-2009ГОСТ Р МЭК 61850-7-1-2009ГОСТ Р МЭК 61850-7-1-2009ГОСТ Р МЭК 61850-7-1-2009ГОСТ Р МЭК 61850-7-1-2009ГОСТ Р МЭК 61850-7-1-2009ГОСТ Р МЭК 61850-7-1-2009ГОСТ Р МЭК 61850-7-1-2009ГОСТ Р МЭК 61850-7-1-2009ГОСТ Р МЭК 61850-7-1-2009ГОСТ Р МЭК 61850-7-1-2009ГОСТ Р МЭК 61850-7-1-2009ГОСТ Р МЭК 61850-7-1-2009ГОСТ Р МЭК 61850-7-1-2009ГОСТ Р МЭК 61850-7-1-2009ГОСТ Р МЭК 61850-7-1-2009ГОСТ Р МЭК 61850-7-1-2009ГОСТ Р МЭК 61850-7-1-2009ГОСТ Р МЭК 61850-7-1-2009ГОСТ Р МЭК 61850-7-1-2009ГОСТ Р МЭК 61850-7-1-2009ГОСТ Р МЭК 61850-7-1-2009ГОСТ Р МЭК 61850-7-1-2009ГОСТ Р МЭК 61850-7-1-2009ГОСТ Р МЭК 61850-7-1-2009ГОСТ Р МЭК 61850-7-1-2009ГОСТ Р МЭК 61850-7-1-2009ГОСТ Р МЭК 61850-7-1-2009
 




ГОСТЫ, СТРОИТЕЛЬНЫЕ и ТЕХНИЧЕСКИЕ НОРМАТИВЫ.
Некоммерческая онлайн система, содержащая все Российские Госты, национальные Стандарты и нормативы.
В Системе содержится более 150000 файлов нормативно-технической документации, действующей на территории РФ.
Система предназначена для широкого круга инженерно-технических специалистов.

Рейтинг@Mail.ru Яндекс цитирования

Copyright © www.gostrf.com, 2008 - 2026