Крупнейшая бесплатная информационно-справочная система онлайн доступа к полному собранию технических нормативно-правовых актов РФ. Огромная база технических нормативов (более 150 тысяч документов) и полное собрание национальных стандартов, аутентичное официальной базе Госстандарта. GOSTRF.com - это более 1 Терабайта бесплатной технической информации для всех пользователей интернета. Все электронные копии представленных здесь документов могут распространяться без каких-либо ограничений. Поощряется распространение информации с этого сайта на любых других ресурсах. Каждый человек имеет право на неограниченный доступ к этим документам! Каждый человек имеет право на знание требований, изложенных в данных нормативно-правовых актах!

  


 

ГОСТ Р ИСО/ТС 22745-11-2009

Системы промышленной автоматизации и их интеграция. Открытые технические словари и их применение к основным данным. Часть 11. Руководство по формулированию терминологии

Обозначение:ГОСТ Р ИСО/ТС 22745-11-2009
Текущий статус документа: действующий
Название документа рус.:Системы промышленной автоматизации и их интеграция. Открытые технические словари и их применение к основным данным. Часть 11. Руководство по формулированию терминологии
Название документа англ.:Industrial automation systems and integration. Open technical dictionaries and their application to master data. Part 11. Guidelines for the formulation of terminology
Дата актуализации текста:01.12.2013
Дата издания:17.06.2011
Дата введения:30.09.2010
Дата последнего изменения:22.05.2013
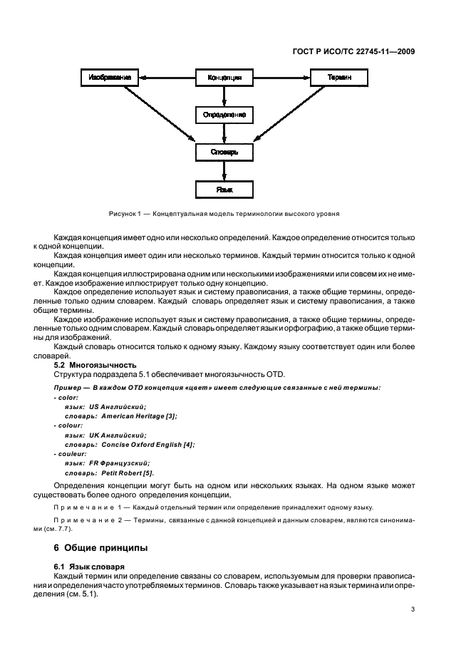
Область применения:Настоящий стандарт устанавливает руководство по разработке терминов и определений концепций открытого технического словаря (OTD).
Настоящий стандарт распространяется на:
- общие принципы;
- руководящие принципы формулирования терминов на английском языке;
- руководящие принципы формулирования определений на английском языке.
Настоящий стандарт не распространяется на:
- идентификаторы концепций, терминов, определений и изображений;
- процедуры ведения и обслуживания OTD
ГОСТ Р ИСО/ТС 22745-11-2009ГОСТ Р ИСО/ТС 22745-11-2009ГОСТ Р ИСО/ТС 22745-11-2009ГОСТ Р ИСО/ТС 22745-11-2009ГОСТ Р ИСО/ТС 22745-11-2009ГОСТ Р ИСО/ТС 22745-11-2009ГОСТ Р ИСО/ТС 22745-11-2009ГОСТ Р ИСО/ТС 22745-11-2009ГОСТ Р ИСО/ТС 22745-11-2009ГОСТ Р ИСО/ТС 22745-11-2009ГОСТ Р ИСО/ТС 22745-11-2009ГОСТ Р ИСО/ТС 22745-11-2009ГОСТ Р ИСО/ТС 22745-11-2009ГОСТ Р ИСО/ТС 22745-11-2009ГОСТ Р ИСО/ТС 22745-11-2009ГОСТ Р ИСО/ТС 22745-11-2009ГОСТ Р ИСО/ТС 22745-11-2009ГОСТ Р ИСО/ТС 22745-11-2009ГОСТ Р ИСО/ТС 22745-11-2009ГОСТ Р ИСО/ТС 22745-11-2009ГОСТ Р ИСО/ТС 22745-11-2009ГОСТ Р ИСО/ТС 22745-11-2009ГОСТ Р ИСО/ТС 22745-11-2009ГОСТ Р ИСО/ТС 22745-11-2009ГОСТ Р ИСО/ТС 22745-11-2009ГОСТ Р ИСО/ТС 22745-11-2009ГОСТ Р ИСО/ТС 22745-11-2009ГОСТ Р ИСО/ТС 22745-11-2009ГОСТ Р ИСО/ТС 22745-11-2009ГОСТ Р ИСО/ТС 22745-11-2009ГОСТ Р ИСО/ТС 22745-11-2009ГОСТ Р ИСО/ТС 22745-11-2009
 




ГОСТЫ, СТРОИТЕЛЬНЫЕ и ТЕХНИЧЕСКИЕ НОРМАТИВЫ.
Некоммерческая онлайн система, содержащая все Российские Госты, национальные Стандарты и нормативы.
В Системе содержится более 150000 файлов нормативно-технической документации, действующей на территории РФ.
Система предназначена для широкого круга инженерно-технических специалистов.

Рейтинг@Mail.ru Яндекс цитирования

Copyright © www.gostrf.com, 2008 - 2026