Крупнейшая бесплатная информационно-справочная система онлайн доступа к полному собранию технических нормативно-правовых актов РФ. Огромная база технических нормативов (более 150 тысяч документов) и полное собрание национальных стандартов, аутентичное официальной базе Госстандарта. GOSTRF.com - это более 1 Терабайта бесплатной технической информации для всех пользователей интернета. Все электронные копии представленных здесь документов могут распространяться без каких-либо ограничений. Поощряется распространение информации с этого сайта на любых других ресурсах. Каждый человек имеет право на неограниченный доступ к этим документам! Каждый человек имеет право на знание требований, изложенных в данных нормативно-правовых актах!

  


 

ГОСТ Р ИСО 11170-2010

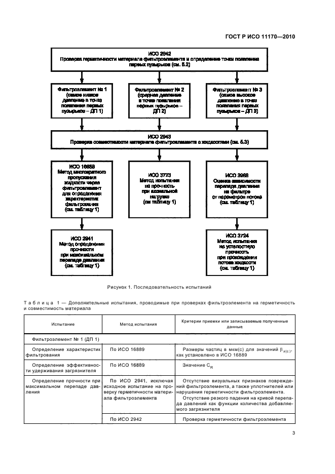
Гидропривод объемный. Фильтроэлементы. Последовательность испытаний при проверке характеристик на соответствие требованиям

Обозначение:ГОСТ Р ИСО 11170-2010
Текущий статус документа: действующий
Название документа рус.:Гидропривод объемный. Фильтроэлементы. Последовательность испытаний при проверке характеристик на соответствие требованиям
Название документа англ.:Hydraulic fluid power. Filter elements. Sequence of tests for verifying performance characteristics
Дата актуализации текста:01.12.2013
Дата издания:15.07.2011
Дата введения:01.12.2011
Дата последнего изменения:22.05.2013
Область применения:В настоящем стандарте установлена последовательность испытаний для проверки фильтроэлементов на соответствие требованиям. Стандарт применяют при проверке гидравлических, механических характеристик фильтроэлементов и характеристик фильтрования.
Настоящий стандарт не применяют для определения пригодности фильтра для конкретной цели или повторного использования.
Методы испытаний, приведенные в настоящем стандарте, применимы к индивидуальным жидкостям или классам жидкостей, имеющих одинаковую химическую природу
ГОСТ Р ИСО 11170-2010ГОСТ Р ИСО 11170-2010ГОСТ Р ИСО 11170-2010ГОСТ Р ИСО 11170-2010ГОСТ Р ИСО 11170-2010ГОСТ Р ИСО 11170-2010ГОСТ Р ИСО 11170-2010ГОСТ Р ИСО 11170-2010ГОСТ Р ИСО 11170-2010ГОСТ Р ИСО 11170-2010ГОСТ Р ИСО 11170-2010ГОСТ Р ИСО 11170-2010
 




ГОСТЫ, СТРОИТЕЛЬНЫЕ и ТЕХНИЧЕСКИЕ НОРМАТИВЫ.
Некоммерческая онлайн система, содержащая все Российские Госты, национальные Стандарты и нормативы.
В Системе содержится более 150000 файлов нормативно-технической документации, действующей на территории РФ.
Система предназначена для широкого круга инженерно-технических специалистов.

Рейтинг@Mail.ru Яндекс цитирования

Copyright © www.gostrf.com, 2008 - 2026