Крупнейшая бесплатная информационно-справочная система онлайн доступа к полному собранию технических нормативно-правовых актов РФ. Огромная база технических нормативов (более 150 тысяч документов) и полное собрание национальных стандартов, аутентичное официальной базе Госстандарта. GOSTRF.com - это более 1 Терабайта бесплатной технической информации для всех пользователей интернета. Все электронные копии представленных здесь документов могут распространяться без каких-либо ограничений. Поощряется распространение информации с этого сайта на любых других ресурсах. Каждый человек имеет право на неограниченный доступ к этим документам! Каждый человек имеет право на знание требований, изложенных в данных нормативно-правовых актах!

  


 

ГОСТ Р 54069-2010

Электрооборудование для потенциально взрывоопасных сред. Группа I. Искробезопасные системы. Часть 1. Конструкция и испытания

Обозначение:ГОСТ Р 54069-2010
Текущий статус документа: действующий
Название документа рус.:Электрооборудование для потенциально взрывоопасных сред. Группа I. Искробезопасные системы. Часть 1. Конструкция и испытания
Название документа англ.:Electrical apparatus for potentially explosive atmospheres. Group I. Intrinsically safe systems. Part 1. Construction and testing
Дата актуализации текста:01.12.2013
Дата издания:17.08.2011
Дата введения:01.01.2012
Дата последнего изменения:22.05.2013
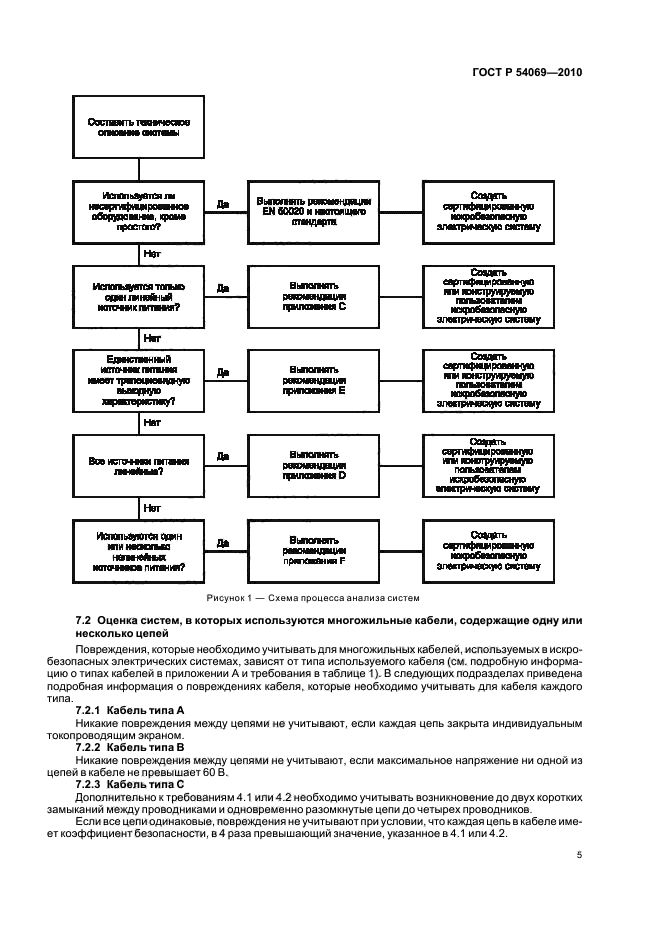
Область применения:Настоящий стандарт содержит специальные требования к конструкции и испытаниям искробезопасных электрических систем, предназначенных для применения полностью или частично во взрывоопасных газовых средах как оборудование группы I.
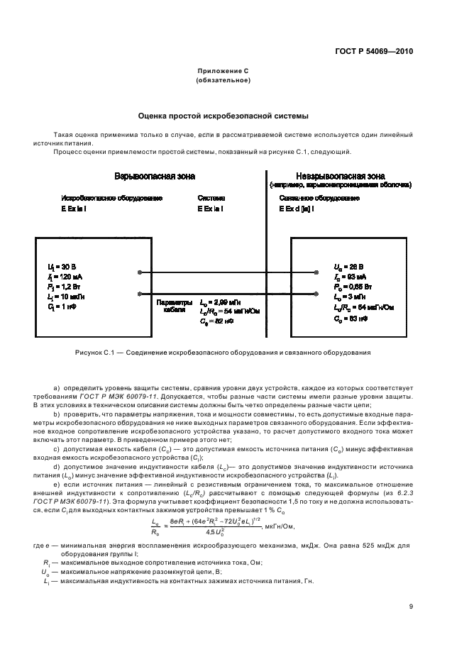
Настоящий стандарт дополняет ГОСТ Р МЭК 60079-11, требования которого относятся к электрическим устройствам, используемым в искробезопасных электрических системах.
Настоящий стандарт распространяется:
- на системы, размещенные на рынке изготовителями или их уполномоченными представителями;
- на системы, смонтированные заказчиком из изделий, соответствующих ГОСТ Р МЭК 60079-11.
Настоящий стандарт не распространяется на выбор соответствующего оборудования или установку искробезопасного электрооборудования и связанного электрооборудования для создания искробезопасной электрической системы
ГОСТ Р 54069-2010ГОСТ Р 54069-2010ГОСТ Р 54069-2010ГОСТ Р 54069-2010ГОСТ Р 54069-2010ГОСТ Р 54069-2010ГОСТ Р 54069-2010ГОСТ Р 54069-2010ГОСТ Р 54069-2010ГОСТ Р 54069-2010ГОСТ Р 54069-2010ГОСТ Р 54069-2010ГОСТ Р 54069-2010ГОСТ Р 54069-2010ГОСТ Р 54069-2010ГОСТ Р 54069-2010ГОСТ Р 54069-2010ГОСТ Р 54069-2010ГОСТ Р 54069-2010ГОСТ Р 54069-2010ГОСТ Р 54069-2010ГОСТ Р 54069-2010ГОСТ Р 54069-2010ГОСТ Р 54069-2010
 




ГОСТЫ, СТРОИТЕЛЬНЫЕ и ТЕХНИЧЕСКИЕ НОРМАТИВЫ.
Некоммерческая онлайн система, содержащая все Российские Госты, национальные Стандарты и нормативы.
В Системе содержится более 150000 файлов нормативно-технической документации, действующей на территории РФ.
Система предназначена для широкого круга инженерно-технических специалистов.

Рейтинг@Mail.ru Яндекс цитирования

Copyright © www.gostrf.com, 2008 - 2026