Крупнейшая бесплатная информационно-справочная система онлайн доступа к полному собранию технических нормативно-правовых актов РФ. Огромная база технических нормативов (более 150 тысяч документов) и полное собрание национальных стандартов, аутентичное официальной базе Госстандарта. GOSTRF.com - это более 1 Терабайта бесплатной технической информации для всех пользователей интернета. Все электронные копии представленных здесь документов могут распространяться без каких-либо ограничений. Поощряется распространение информации с этого сайта на любых других ресурсах. Каждый человек имеет право на неограниченный доступ к этим документам! Каждый человек имеет право на знание требований, изложенных в данных нормативно-правовых актах!

  


 

ГОСТ Р 53918-2010

Изделия медицинские. Руководство по интеграции принципов менеджмента риска в систему менеджмента качества

Обозначение:ГОСТ Р 53918-2010
Текущий статус документа: действующий
Название документа рус.:Изделия медицинские. Руководство по интеграции принципов менеджмента риска в систему менеджмента качества
Название документа англ.:Medical devices. Implementation of risk management principles and activities within a quality management system
Дата актуализации текста:01.12.2013
Дата издания:24.06.2011
Дата введения:31.10.2011
Дата последнего изменения:22.05.2013
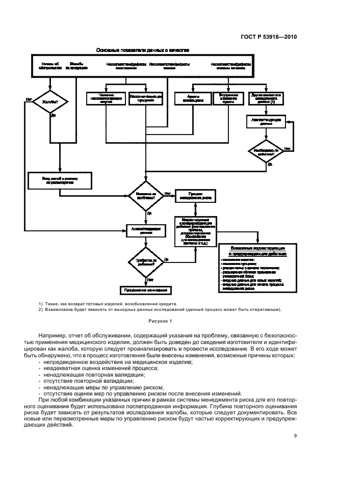
Область применения:Настоящее руководство рассматривает принципы и возможности интеграции системы менеджмента риска в систему менеджмента качества изготовителей медицинских изделий на основе разъяснений и примеров практического применения.
Настоящее руководство предназначено для использования в сфере обращения медицинских изделий с целью обучения, но не в контролирующей деятельности регулирующих органов, при проведении сертификации или аудита на соответствие регулирующим требованиям (т.е. требованиям, установленным в регулирующих документах)
ГОСТ Р 53918-2010ГОСТ Р 53918-2010ГОСТ Р 53918-2010ГОСТ Р 53918-2010ГОСТ Р 53918-2010ГОСТ Р 53918-2010ГОСТ Р 53918-2010ГОСТ Р 53918-2010ГОСТ Р 53918-2010ГОСТ Р 53918-2010ГОСТ Р 53918-2010ГОСТ Р 53918-2010ГОСТ Р 53918-2010ГОСТ Р 53918-2010ГОСТ Р 53918-2010ГОСТ Р 53918-2010ГОСТ Р 53918-2010ГОСТ Р 53918-2010ГОСТ Р 53918-2010ГОСТ Р 53918-2010
 




ГОСТЫ, СТРОИТЕЛЬНЫЕ и ТЕХНИЧЕСКИЕ НОРМАТИВЫ.
Некоммерческая онлайн система, содержащая все Российские Госты, национальные Стандарты и нормативы.
В Системе содержится более 150000 файлов нормативно-технической документации, действующей на территории РФ.
Система предназначена для широкого круга инженерно-технических специалистов.

Рейтинг@Mail.ru Яндекс цитирования

Copyright © www.gostrf.com, 2008 - 2026