Крупнейшая бесплатная информационно-справочная система онлайн доступа к полному собранию технических нормативно-правовых актов РФ. Огромная база технических нормативов (более 150 тысяч документов) и полное собрание национальных стандартов, аутентичное официальной базе Госстандарта. GOSTRF.com - это более 1 Терабайта бесплатной технической информации для всех пользователей интернета. Все электронные копии представленных здесь документов могут распространяться без каких-либо ограничений. Поощряется распространение информации с этого сайта на любых других ресурсах. Каждый человек имеет право на неограниченный доступ к этим документам! Каждый человек имеет право на знание требований, изложенных в данных нормативно-правовых актах!

  


 

ГОСТ Р ИСО/ТС 10303-1002-2010

Системы автоматизации производства и их интеграция. Представление данных об изделии и обмен этими данными. Часть 1002. Прикладной модуль. Цвет

Обозначение:ГОСТ Р ИСО/ТС 10303-1002-2010
Текущий статус документа: действующий
Название документа рус.:Системы автоматизации производства и их интеграция. Представление данных об изделии и обмен этими данными. Часть 1002. Прикладной модуль. Цвет
Название документа англ.:Industrial automation systems and integration. Product data representation and exchange. Part 1002. Application module. Colour
Дата актуализации текста:01.12.2013
Дата издания:14.07.2011
Дата введения:01.08.2011
Дата последнего изменения:22.05.2013
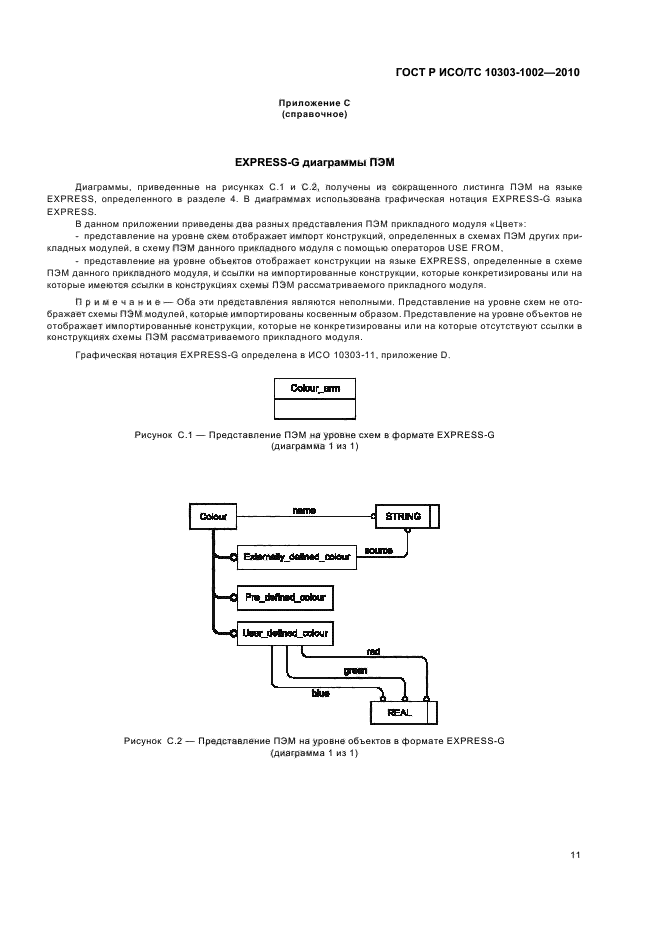
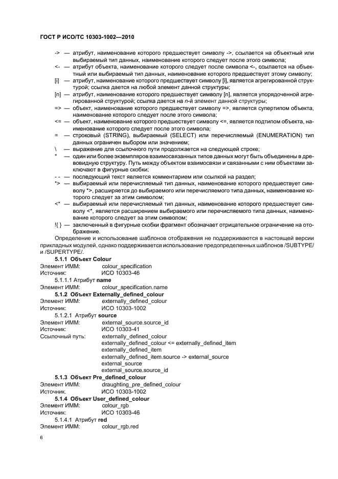
Область применения:Настоящий стандарт определяет прикладной модуль «Цвет».
Требования настоящего стандарта распространяются на определение информации о цвете.
Требования настоящего стандарта не распространяются на:
- спецификацию семантики, связанной с использованием цветов;
- применение настоящего стандарта совместно с ИСО 10303-517 из-за частичного совпадения областей применения и конфликтов имен для объекта интерпретированной модели draughting pre defined colour
ГОСТ Р ИСО/ТС 10303-1002-2010ГОСТ Р ИСО/ТС 10303-1002-2010ГОСТ Р ИСО/ТС 10303-1002-2010ГОСТ Р ИСО/ТС 10303-1002-2010ГОСТ Р ИСО/ТС 10303-1002-2010ГОСТ Р ИСО/ТС 10303-1002-2010ГОСТ Р ИСО/ТС 10303-1002-2010ГОСТ Р ИСО/ТС 10303-1002-2010ГОСТ Р ИСО/ТС 10303-1002-2010ГОСТ Р ИСО/ТС 10303-1002-2010ГОСТ Р ИСО/ТС 10303-1002-2010ГОСТ Р ИСО/ТС 10303-1002-2010ГОСТ Р ИСО/ТС 10303-1002-2010ГОСТ Р ИСО/ТС 10303-1002-2010ГОСТ Р ИСО/ТС 10303-1002-2010ГОСТ Р ИСО/ТС 10303-1002-2010ГОСТ Р ИСО/ТС 10303-1002-2010ГОСТ Р ИСО/ТС 10303-1002-2010ГОСТ Р ИСО/ТС 10303-1002-2010ГОСТ Р ИСО/ТС 10303-1002-2010
 




ГОСТЫ, СТРОИТЕЛЬНЫЕ и ТЕХНИЧЕСКИЕ НОРМАТИВЫ.
Некоммерческая онлайн система, содержащая все Российские Госты, национальные Стандарты и нормативы.
В Системе содержится более 150000 файлов нормативно-технической документации, действующей на территории РФ.
Система предназначена для широкого круга инженерно-технических специалистов.

Рейтинг@Mail.ru Яндекс цитирования

Copyright © www.gostrf.com, 2008 - 2026