Крупнейшая бесплатная информационно-справочная система онлайн доступа к полному собранию технических нормативно-правовых актов РФ. Огромная база технических нормативов (более 150 тысяч документов) и полное собрание национальных стандартов, аутентичное официальной базе Госстандарта. GOSTRF.com - это более 1 Терабайта бесплатной технической информации для всех пользователей интернета. Все электронные копии представленных здесь документов могут распространяться без каких-либо ограничений. Поощряется распространение информации с этого сайта на любых других ресурсах. Каждый человек имеет право на неограниченный доступ к этим документам! Каждый человек имеет право на знание требований, изложенных в данных нормативно-правовых актах!

  


 

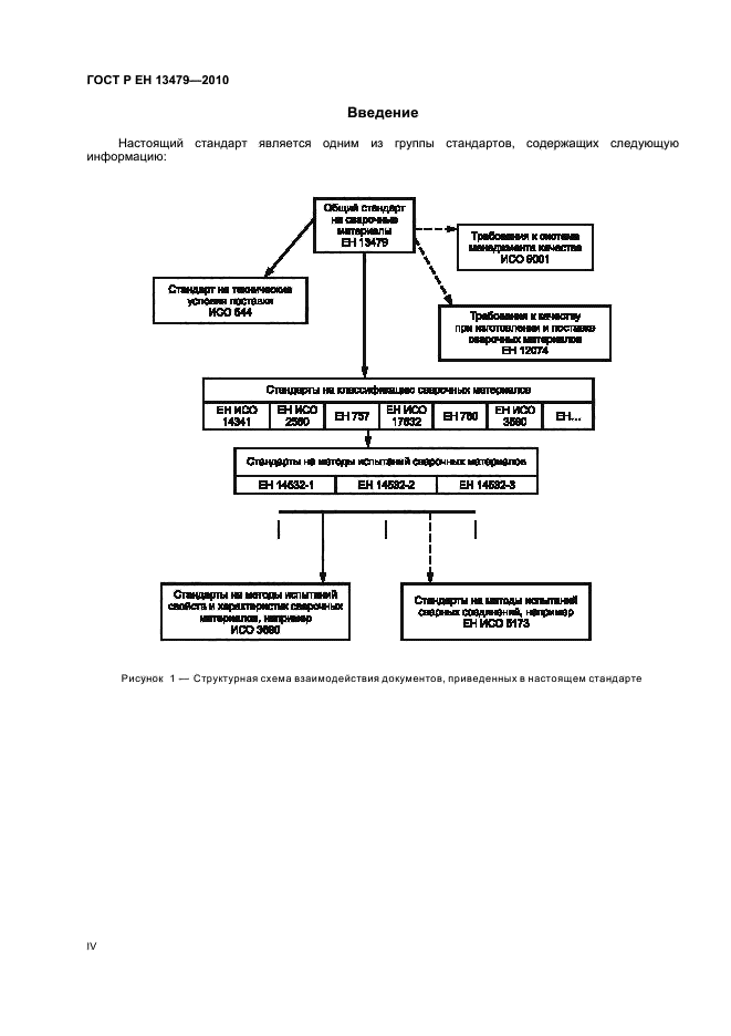
ГОСТ Р ЕН 13479-2010

Материалы сварочные. Общие требования к присадочным материалам и флюсам для сварки металлов плавлением

Обозначение:ГОСТ Р ЕН 13479-2010
Текущий статус документа: действующий
Название документа рус.:Материалы сварочные. Общие требования к присадочным материалам и флюсам для сварки металлов плавлением
Название документа англ.:Welding consumables. General product standard for filler metals and fluxes for fusion welding of metallic materials
Дата актуализации текста:01.12.2013
Дата издания:19.10.2011
Дата введения:01.01.2012
Дата последнего изменения:23.05.2013
Область применения:Настоящий стандарт устанавливает основные требования на поставку присадочных материалов и флюсов для сварки плавлением металлических материалов. Настоящий стандарт не распространяется на сварочные материалы, которые не расплавляются в процессе сварки, например защитные газы и др. Настоящий стандарт предназначен для применения в следующих случаях:
- в целях установления изготовителем характеристик сварочных материалов;
- при составлении договоров в качестве ссылочного документа;
- в качестве ссылочного документа для подтверждения соответствия сварочных материалов
ГОСТ Р ЕН 13479-2010ГОСТ Р ЕН 13479-2010ГОСТ Р ЕН 13479-2010ГОСТ Р ЕН 13479-2010ГОСТ Р ЕН 13479-2010ГОСТ Р ЕН 13479-2010ГОСТ Р ЕН 13479-2010ГОСТ Р ЕН 13479-2010ГОСТ Р ЕН 13479-2010ГОСТ Р ЕН 13479-2010ГОСТ Р ЕН 13479-2010ГОСТ Р ЕН 13479-2010
 




ГОСТЫ, СТРОИТЕЛЬНЫЕ и ТЕХНИЧЕСКИЕ НОРМАТИВЫ.
Некоммерческая онлайн система, содержащая все Российские Госты, национальные Стандарты и нормативы.
В Системе содержится более 150000 файлов нормативно-технической документации, действующей на территории РФ.
Система предназначена для широкого круга инженерно-технических специалистов.

Рейтинг@Mail.ru Яндекс цитирования

Copyright © www.gostrf.com, 2008 - 2026