Крупнейшая бесплатная информационно-справочная система онлайн доступа к полному собранию технических нормативно-правовых актов РФ. Огромная база технических нормативов (более 150 тысяч документов) и полное собрание национальных стандартов, аутентичное официальной базе Госстандарта. GOSTRF.com - это более 1 Терабайта бесплатной технической информации для всех пользователей интернета. Все электронные копии представленных здесь документов могут распространяться без каких-либо ограничений. Поощряется распространение информации с этого сайта на любых других ресурсах. Каждый человек имеет право на неограниченный доступ к этим документам! Каждый человек имеет право на знание требований, изложенных в данных нормативно-правовых актах!

  


 

ГОСТ Р 54322-2011

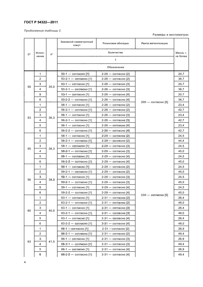
Техника авиационная. Хомуты зажимные симметричные с обкладкой и лентой металлизации. Конструкция

Обозначение:ГОСТ Р 54322-2011
Текущий статус документа: действующий
Название документа рус.:Техника авиационная. Хомуты зажимные симметричные с обкладкой и лентой металлизации. Конструкция
Название документа англ.:Aircraft. Symmetric clamps with liner and bonding strip. Design
Дата актуализации текста:01.12.2013
Дата издания:07.10.2011
Дата введения:01.01.2012
Дата последнего изменения:23.05.2013
Область применения:Настоящий стандарт распространяется на зажимные симметричные хомуты с обкладкой и лентой металлизации, предназначенные для крепления трубопроводов и электрожгутов
ГОСТ Р 54322-2011ГОСТ Р 54322-2011ГОСТ Р 54322-2011ГОСТ Р 54322-2011ГОСТ Р 54322-2011ГОСТ Р 54322-2011ГОСТ Р 54322-2011ГОСТ Р 54322-2011ГОСТ Р 54322-2011ГОСТ Р 54322-2011ГОСТ Р 54322-2011ГОСТ Р 54322-2011
 




ГОСТЫ, СТРОИТЕЛЬНЫЕ и ТЕХНИЧЕСКИЕ НОРМАТИВЫ.
Некоммерческая онлайн система, содержащая все Российские Госты, национальные Стандарты и нормативы.
В Системе содержится более 150000 файлов нормативно-технической документации, действующей на территории РФ.
Система предназначена для широкого круга инженерно-технических специалистов.

Рейтинг@Mail.ru Яндекс цитирования

Copyright © www.gostrf.com, 2008 - 2026