Крупнейшая бесплатная информационно-справочная система онлайн доступа к полному собранию технических нормативно-правовых актов РФ. Огромная база технических нормативов (более 150 тысяч документов) и полное собрание национальных стандартов, аутентичное официальной базе Госстандарта. GOSTRF.com - это более 1 Терабайта бесплатной технической информации для всех пользователей интернета. Все электронные копии представленных здесь документов могут распространяться без каких-либо ограничений. Поощряется распространение информации с этого сайта на любых других ресурсах. Каждый человек имеет право на неограниченный доступ к этим документам! Каждый человек имеет право на знание требований, изложенных в данных нормативно-правовых актах!

  


 

ГОСТ Р 54239-2010

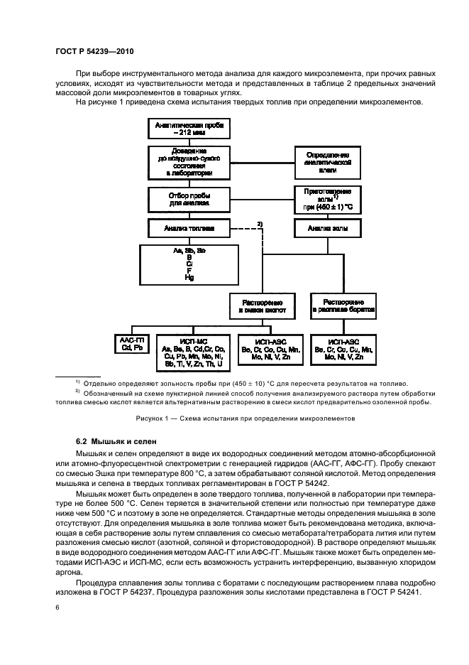
Топливо твердое минеральное. Выбор методов определения микроэлементов

Обозначение:ГОСТ Р 54239-2010
Текущий статус документа: действующий
Название документа рус.:Топливо твердое минеральное. Выбор методов определения микроэлементов
Название документа англ.:Solid mineral fuels. Selection of methods for the determination of trace elements
Дата актуализации текста:01.12.2013
Дата издания:18.10.2011
Дата введения:01.07.2012
Дата последнего изменения:22.05.2013
Область применения:Настоящий стандарт распространяется на каменные и бурые угли, лигниты, антрациты, горючие сланцы, торф, кокс, брикеты, твердые продукты и отходы обогащения и переработки топлив и устанавливает общие представления о выборе методов определения микроэлементов в твердом минеральном топливе. К микроэлементам, важным с точки зрения защиты окружающей среды, относят сурьму, мышьяк, бериллий, бор, кадмий, хлор, хром, кобальт, медь, фтор, свинец, марганец, ртуть, молибден, никель, селен, таллий, ванадий и цинк, а также радиоактивные микроэлементы торий и уран.
В настоящием стандарте не приведено описание процедур определения отдельных микроэлементов.
Для подтверждения правильности результатов определения микроэлементов проводят анализ подходящих аттестованных стандартных образцов
ГОСТ Р 54239-2010ГОСТ Р 54239-2010ГОСТ Р 54239-2010ГОСТ Р 54239-2010ГОСТ Р 54239-2010ГОСТ Р 54239-2010ГОСТ Р 54239-2010ГОСТ Р 54239-2010ГОСТ Р 54239-2010ГОСТ Р 54239-2010ГОСТ Р 54239-2010ГОСТ Р 54239-2010ГОСТ Р 54239-2010ГОСТ Р 54239-2010ГОСТ Р 54239-2010ГОСТ Р 54239-2010
 




ГОСТЫ, СТРОИТЕЛЬНЫЕ и ТЕХНИЧЕСКИЕ НОРМАТИВЫ.
Некоммерческая онлайн система, содержащая все Российские Госты, национальные Стандарты и нормативы.
В Системе содержится более 150000 файлов нормативно-технической документации, действующей на территории РФ.
Система предназначена для широкого круга инженерно-технических специалистов.

Рейтинг@Mail.ru Яндекс цитирования

Copyright © www.gostrf.com, 2008 - 2026