Крупнейшая бесплатная информационно-справочная система онлайн доступа к полному собранию технических нормативно-правовых актов РФ. Огромная база технических нормативов (более 150 тысяч документов) и полное собрание национальных стандартов, аутентичное официальной базе Госстандарта. GOSTRF.com - это более 1 Терабайта бесплатной технической информации для всех пользователей интернета. Все электронные копии представленных здесь документов могут распространяться без каких-либо ограничений. Поощряется распространение информации с этого сайта на любых других ресурсах. Каждый человек имеет право на неограниченный доступ к этим документам! Каждый человек имеет право на знание требований, изложенных в данных нормативно-правовых актах!

  


 

ГОСТ Р МЭК 62138-2010

Атомные электростанции. Системы контроля и управления, важные для безопасности. Программное обеспечение компьютерных систем, выполняющих функции категорий В и С

Обозначение:ГОСТ Р МЭК 62138-2010
Текущий статус документа: действующий
Название документа рус.:Атомные электростанции. Системы контроля и управления, важные для безопасности. Программное обеспечение компьютерных систем, выполняющих функции категорий В и С
Название документа англ.:Nuclear power plants. Instrumentation and control important for safety. Software aspects for computer-based systems performing category B or C functions
Дата актуализации текста:01.12.2013
Дата издания:11.11.2011
Дата введения:01.01.2012
Дата последнего изменения:23.05.2013
Область применения:Настоящий стандарт содержит требования к программному обеспечению компьютерных систем, выполняющих функции безопасности категории B или C, определенные в МЭК 61226. Настоящий стандарт дополняет МЭК 60880 и МЭК 60880-2, которые содержат требования к программному обеспечению компьютерных систем, выполняющих функции безопасности категории A.
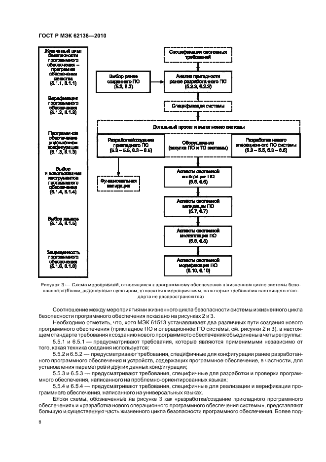
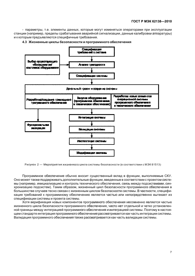
Настоящий стандарт также согласован с МЭК 61513 и дополняет его. Действия, относящиеся, главным образом, к системному уровню (например, интеграция, валидация и установка), в настоящем стандарте подробно не рассматриваются: неспецифичные для программного обеспечения требования изложены в МЭК 61513.
МЭК 61513 следующим образом устанавливает классы безопасности систем, важных для безопасности:
- системы контроля и управления (СКУ) класса безопасности 1 - в основном предназначены для выполнения функций безопасности категории A, но могут также выполнять функции безопасности категории B и/или С и функции, не классифицированные по безопасности;
- СКУ класса безопасности 2 - в основном предназначены для исполнения функций безопасности категории B, но могут также выполнять функции безопасности категории C и функции, не классифицированные по безопасности;
- СКУ класса безопасности 3 - в основном предназначены для выполнения функций безопасности категории C, но могут также выполнять функции, не классифицированные по безопасности.
Так как классифицированная конкретная СКУ может выполнять функции различных категорий безопасности и даже функции, не классифицированные по безопасности, требования настоящего стандарта относятся к классу безопасности СКУ.
Настоящий стандарт учитывает существующую практику по разработке программного обеспечения для СКУ, в частности:
- использование ранее разработанного программного обеспечения, оборудования и комплексов оборудования, которые не обязательно были разработаны по отраслевым стандартам ядерной промышленности;
- использование специализированных устройств типа «черный ящик» со встроенным программным обеспечением;
- использование проблемно–ориентированных языков программирования.
Настоящий стандарт не предназначен для использования в качестве технического руководства для программного обеспечения общего назначения. В нем представлены требования, которым должно соответствовать программное обеспечение СКУ классов безопасности 2 или 3 для достижения целей системного обеспечения ядерной безопасности
ГОСТ Р МЭК 62138-2010ГОСТ Р МЭК 62138-2010ГОСТ Р МЭК 62138-2010ГОСТ Р МЭК 62138-2010ГОСТ Р МЭК 62138-2010ГОСТ Р МЭК 62138-2010ГОСТ Р МЭК 62138-2010ГОСТ Р МЭК 62138-2010ГОСТ Р МЭК 62138-2010ГОСТ Р МЭК 62138-2010ГОСТ Р МЭК 62138-2010ГОСТ Р МЭК 62138-2010ГОСТ Р МЭК 62138-2010ГОСТ Р МЭК 62138-2010ГОСТ Р МЭК 62138-2010ГОСТ Р МЭК 62138-2010ГОСТ Р МЭК 62138-2010ГОСТ Р МЭК 62138-2010ГОСТ Р МЭК 62138-2010ГОСТ Р МЭК 62138-2010ГОСТ Р МЭК 62138-2010ГОСТ Р МЭК 62138-2010ГОСТ Р МЭК 62138-2010ГОСТ Р МЭК 62138-2010ГОСТ Р МЭК 62138-2010ГОСТ Р МЭК 62138-2010ГОСТ Р МЭК 62138-2010ГОСТ Р МЭК 62138-2010ГОСТ Р МЭК 62138-2010ГОСТ Р МЭК 62138-2010ГОСТ Р МЭК 62138-2010ГОСТ Р МЭК 62138-2010ГОСТ Р МЭК 62138-2010ГОСТ Р МЭК 62138-2010ГОСТ Р МЭК 62138-2010ГОСТ Р МЭК 62138-2010ГОСТ Р МЭК 62138-2010ГОСТ Р МЭК 62138-2010ГОСТ Р МЭК 62138-2010ГОСТ Р МЭК 62138-2010ГОСТ Р МЭК 62138-2010ГОСТ Р МЭК 62138-2010ГОСТ Р МЭК 62138-2010
 




ГОСТЫ, СТРОИТЕЛЬНЫЕ и ТЕХНИЧЕСКИЕ НОРМАТИВЫ.
Некоммерческая онлайн система, содержащая все Российские Госты, национальные Стандарты и нормативы.
В Системе содержится более 150000 файлов нормативно-технической документации, действующей на территории РФ.
Система предназначена для широкого круга инженерно-технических специалистов.

Рейтинг@Mail.ru Яндекс цитирования

Copyright © www.gostrf.com, 2008 - 2026