Крупнейшая бесплатная информационно-справочная система онлайн доступа к полному собранию технических нормативно-правовых актов РФ. Огромная база технических нормативов (более 150 тысяч документов) и полное собрание национальных стандартов, аутентичное официальной базе Госстандарта. GOSTRF.com - это более 1 Терабайта бесплатной технической информации для всех пользователей интернета. Все электронные копии представленных здесь документов могут распространяться без каких-либо ограничений. Поощряется распространение информации с этого сайта на любых других ресурсах. Каждый человек имеет право на неограниченный доступ к этим документам! Каждый человек имеет право на знание требований, изложенных в данных нормативно-правовых актах!

  


 

ГОСТ Р 54096-2010

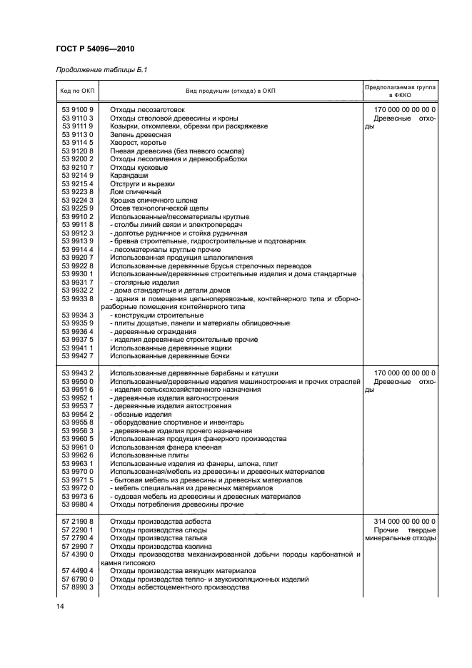
Ресурсосбережение. Обращение с отходами. Взаимосвязь требований Федерального классификационного каталога отходов и Oбщероссийского классификатора продукции

Обозначение:ГОСТ Р 54096-2010
Текущий статус документа: действующий
Название документа рус.:Ресурсосбережение. Обращение с отходами. Взаимосвязь требований Федерального классификационного каталога отходов и Oбщероссийского классификатора продукции
Название документа англ.:Resources saving. Waste treatment. Interconnection of requirements of Federal classification catalogue of waste and Russian classification of production
Дата актуализации текста:01.12.2013
Дата издания:02.11.2011
Дата введения:01.01.2012
Дата последнего изменения:22.05.2013
Область применения:Настоящий стандарт устанавливает основные принципы взаимодействия автоматизированных систем классифицирования различных видов продукции по технико-экономическим признакам и отходов с учетом возможности создания ресурсосберегающих циклов «сырье - продукция - отходы - сырье».
Настоящий стандарт распространяется на любые виды отходов производства и потребления, а также на продукцию с истекшим сроком годности, бракованную и устаревшую, которые непосредственно или после соответствующей подготовки пригодны для использования в виде вторичного сырья.
Требования настоящего стандарта применяются при разработке проектной документации, нормировании, лимитировании, лицензировании, составлении региональных кадастров и программ в сфере обращения с отходами.
Настоящий стандарт не распространяется на радиоактивные отходы и отходы оборонной продукции.
Настоящий стандарт предназначен для обеспечения достоверности, сопоставимости и автоматизированной обработки информации о продукции и отходах в таких сферах деятельности, как стандартизация, статистика, производство и др.
ГОСТ Р 54096-2010ГОСТ Р 54096-2010ГОСТ Р 54096-2010ГОСТ Р 54096-2010ГОСТ Р 54096-2010ГОСТ Р 54096-2010ГОСТ Р 54096-2010ГОСТ Р 54096-2010ГОСТ Р 54096-2010ГОСТ Р 54096-2010ГОСТ Р 54096-2010ГОСТ Р 54096-2010ГОСТ Р 54096-2010ГОСТ Р 54096-2010ГОСТ Р 54096-2010ГОСТ Р 54096-2010ГОСТ Р 54096-2010ГОСТ Р 54096-2010ГОСТ Р 54096-2010ГОСТ Р 54096-2010ГОСТ Р 54096-2010ГОСТ Р 54096-2010ГОСТ Р 54096-2010ГОСТ Р 54096-2010
 




ГОСТЫ, СТРОИТЕЛЬНЫЕ и ТЕХНИЧЕСКИЕ НОРМАТИВЫ.
Некоммерческая онлайн система, содержащая все Российские Госты, национальные Стандарты и нормативы.
В Системе содержится более 150000 файлов нормативно-технической документации, действующей на территории РФ.
Система предназначена для широкого круга инженерно-технических специалистов.

Рейтинг@Mail.ru Яндекс цитирования

Copyright © www.gostrf.com, 2008 - 2026