Крупнейшая бесплатная информационно-справочная система онлайн доступа к полному собранию технических нормативно-правовых актов РФ. Огромная база технических нормативов (более 150 тысяч документов) и полное собрание национальных стандартов, аутентичное официальной базе Госстандарта. GOSTRF.com - это более 1 Терабайта бесплатной технической информации для всех пользователей интернета. Все электронные копии представленных здесь документов могут распространяться без каких-либо ограничений. Поощряется распространение информации с этого сайта на любых других ресурсах. Каждый человек имеет право на неограниченный доступ к этим документам! Каждый человек имеет право на знание требований, изложенных в данных нормативно-правовых актах!

  


 

ГОСТ Р ИСО 21549-7-2010

Информатизация здоровья. Структура данных на пластиковой карте пациента. Часть 7. Лекарственные назначения

Обозначение:ГОСТ Р ИСО 21549-7-2010
Текущий статус документа: действующий
Название документа рус.:Информатизация здоровья. Структура данных на пластиковой карте пациента. Часть 7. Лекарственные назначения
Название документа англ.:Health informatics. Patient healthcard data. Part 7. Medication data
Дата актуализации текста:01.12.2013
Дата издания:21.11.2011
Дата введения:01.08.2011
Дата последнего изменения:22.05.2013
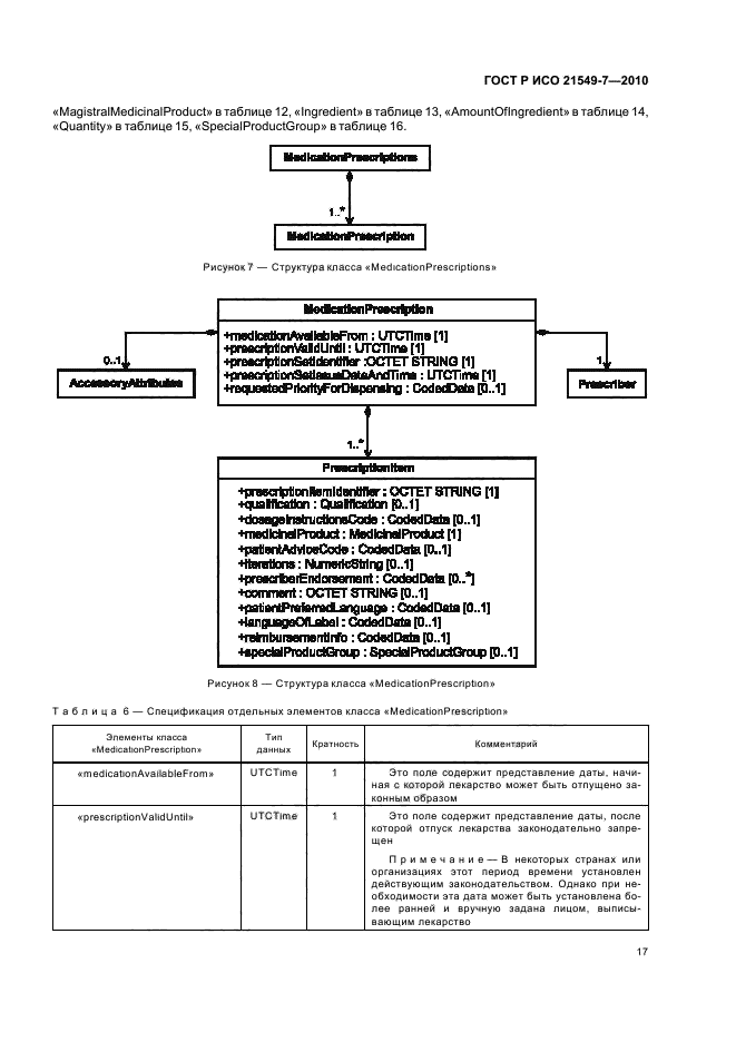
Область применения:Настоящий стандарт применим в тех случаях, когда данные о лекарственных назначениях записываются на пластиковые карты пациентов или переносятся картами, физические характеристики которых совпадают с теми, что описаны для карт типа ID-1 в ИСО/МЭК 7810.
Настоящий стандарт определяет базовую структуру данных, содержащихся в информационном объекте лекарственных назначений, но не определяет и не предписывает конкретные наборы данных для хранения на картах.
Настоящий стандарт предназначен для карт, предоставляющих информацию другим медицинским работникам, пациенту или непрофессиональному лицу, выполняющему уход за пациентом.
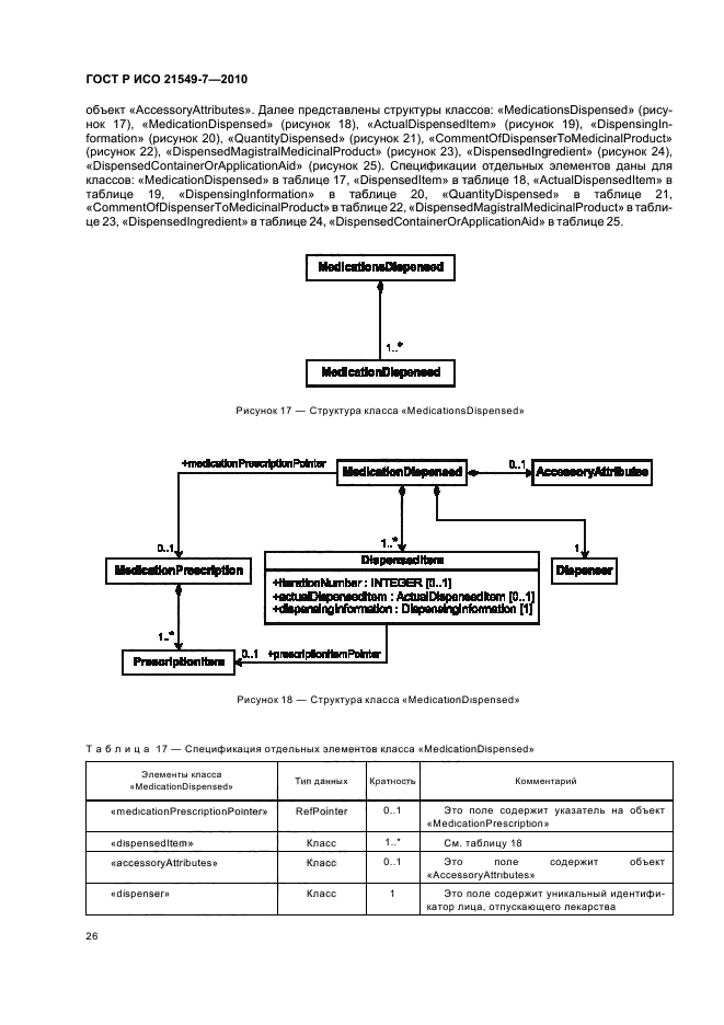
Описанная в нем структура данных может быть использована для передачи нового рецепта от лица, выписывающего рецепт, аптеке или лицу, отпускающему лекарственные средства
ГОСТ Р ИСО 21549-7-2010ГОСТ Р ИСО 21549-7-2010ГОСТ Р ИСО 21549-7-2010ГОСТ Р ИСО 21549-7-2010ГОСТ Р ИСО 21549-7-2010ГОСТ Р ИСО 21549-7-2010ГОСТ Р ИСО 21549-7-2010ГОСТ Р ИСО 21549-7-2010ГОСТ Р ИСО 21549-7-2010ГОСТ Р ИСО 21549-7-2010ГОСТ Р ИСО 21549-7-2010ГОСТ Р ИСО 21549-7-2010ГОСТ Р ИСО 21549-7-2010ГОСТ Р ИСО 21549-7-2010ГОСТ Р ИСО 21549-7-2010ГОСТ Р ИСО 21549-7-2010ГОСТ Р ИСО 21549-7-2010ГОСТ Р ИСО 21549-7-2010ГОСТ Р ИСО 21549-7-2010ГОСТ Р ИСО 21549-7-2010ГОСТ Р ИСО 21549-7-2010ГОСТ Р ИСО 21549-7-2010ГОСТ Р ИСО 21549-7-2010ГОСТ Р ИСО 21549-7-2010ГОСТ Р ИСО 21549-7-2010ГОСТ Р ИСО 21549-7-2010ГОСТ Р ИСО 21549-7-2010ГОСТ Р ИСО 21549-7-2010ГОСТ Р ИСО 21549-7-2010ГОСТ Р ИСО 21549-7-2010ГОСТ Р ИСО 21549-7-2010ГОСТ Р ИСО 21549-7-2010ГОСТ Р ИСО 21549-7-2010ГОСТ Р ИСО 21549-7-2010ГОСТ Р ИСО 21549-7-2010ГОСТ Р ИСО 21549-7-2010ГОСТ Р ИСО 21549-7-2010ГОСТ Р ИСО 21549-7-2010ГОСТ Р ИСО 21549-7-2010ГОСТ Р ИСО 21549-7-2010ГОСТ Р ИСО 21549-7-2010ГОСТ Р ИСО 21549-7-2010
 




ГОСТЫ, СТРОИТЕЛЬНЫЕ и ТЕХНИЧЕСКИЕ НОРМАТИВЫ.
Некоммерческая онлайн система, содержащая все Российские Госты, национальные Стандарты и нормативы.
В Системе содержится более 150000 файлов нормативно-технической документации, действующей на территории РФ.
Система предназначена для широкого круга инженерно-технических специалистов.

Рейтинг@Mail.ru Яндекс цитирования

Copyright © www.gostrf.com, 2008 - 2026