Крупнейшая бесплатная информационно-справочная система онлайн доступа к полному собранию технических нормативно-правовых актов РФ. Огромная база технических нормативов (более 150 тысяч документов) и полное собрание национальных стандартов, аутентичное официальной базе Госстандарта. GOSTRF.com - это более 1 Терабайта бесплатной технической информации для всех пользователей интернета. Все электронные копии представленных здесь документов могут распространяться без каких-либо ограничений. Поощряется распространение информации с этого сайта на любых других ресурсах. Каждый человек имеет право на неограниченный доступ к этим документам! Каждый человек имеет право на знание требований, изложенных в данных нормативно-правовых актах!

  


 

ГОСТ Р 54134-2010

Экологический менеджмент. Руководство по применению организационных мер безопасности и оценки рисков. Выбросы парниковых газов

Обозначение:ГОСТ Р 54134-2010
Текущий статус документа: действующий
Название документа рус.:Экологический менеджмент. Руководство по применению организационных мер безопасности и оценки рисков. Выбросы парниковых газов
Название документа англ.:Environmental management. Guidance for organizational safeguards application and risk assesment. Greenhouse gas emissions
Дата актуализации текста:01.12.2013
Дата издания:31.10.2011
Дата введения:31.08.2011
Дата последнего изменения:22.05.2013
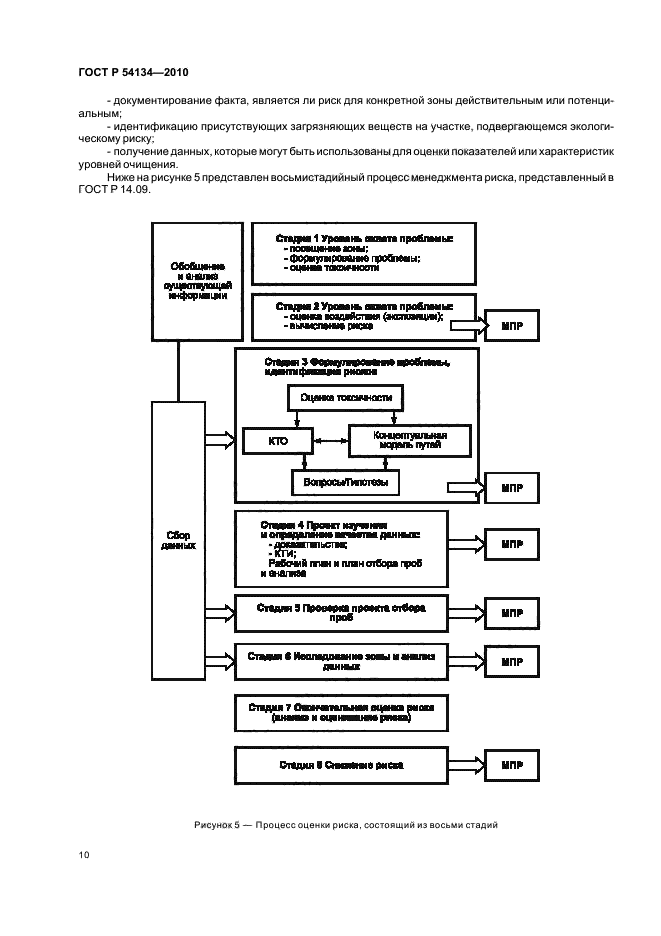
Область применения:Настоящий стандарт устанавливает требования по оценке рисков с целью снижения выбросов и повышения удалений парниковых газов и распространяется на механизмы участия в деятельности по снижению выбросов и повышению удалений парниковых газов, проведению валидации или верификации данных
ГОСТ Р 54134-2010ГОСТ Р 54134-2010ГОСТ Р 54134-2010ГОСТ Р 54134-2010ГОСТ Р 54134-2010ГОСТ Р 54134-2010ГОСТ Р 54134-2010ГОСТ Р 54134-2010ГОСТ Р 54134-2010ГОСТ Р 54134-2010ГОСТ Р 54134-2010ГОСТ Р 54134-2010ГОСТ Р 54134-2010ГОСТ Р 54134-2010ГОСТ Р 54134-2010ГОСТ Р 54134-2010ГОСТ Р 54134-2010ГОСТ Р 54134-2010ГОСТ Р 54134-2010ГОСТ Р 54134-2010ГОСТ Р 54134-2010ГОСТ Р 54134-2010ГОСТ Р 54134-2010ГОСТ Р 54134-2010ГОСТ Р 54134-2010ГОСТ Р 54134-2010ГОСТ Р 54134-2010ГОСТ Р 54134-2010
 




ГОСТЫ, СТРОИТЕЛЬНЫЕ и ТЕХНИЧЕСКИЕ НОРМАТИВЫ.
Некоммерческая онлайн система, содержащая все Российские Госты, национальные Стандарты и нормативы.
В Системе содержится более 150000 файлов нормативно-технической документации, действующей на территории РФ.
Система предназначена для широкого круга инженерно-технических специалистов.

Рейтинг@Mail.ru Яндекс цитирования

Copyright © www.gostrf.com, 2008 - 2026