Крупнейшая бесплатная информационно-справочная система онлайн доступа к полному собранию технических нормативно-правовых актов РФ. Огромная база технических нормативов (более 150 тысяч документов) и полное собрание национальных стандартов, аутентичное официальной базе Госстандарта. GOSTRF.com - это более 1 Терабайта бесплатной технической информации для всех пользователей интернета. Все электронные копии представленных здесь документов могут распространяться без каких-либо ограничений. Поощряется распространение информации с этого сайта на любых других ресурсах. Каждый человек имеет право на неограниченный доступ к этим документам! Каждый человек имеет право на знание требований, изложенных в данных нормативно-правовых актах!

  


 

ГОСТ 3.1001-2011

Единая система технологической документации. Общие положения

Обозначение:ГОСТ 3.1001-2011
Текущий статус документа: действующий
Название документа рус.:Единая система технологической документации. Общие положения
Название документа англ.:Unified system for technological documentation. General principles
Дата актуализации текста:01.12.2013
Дата издания:20.12.2011
Дата введения:01.01.2012
Дата последнего изменения:22.05.2013
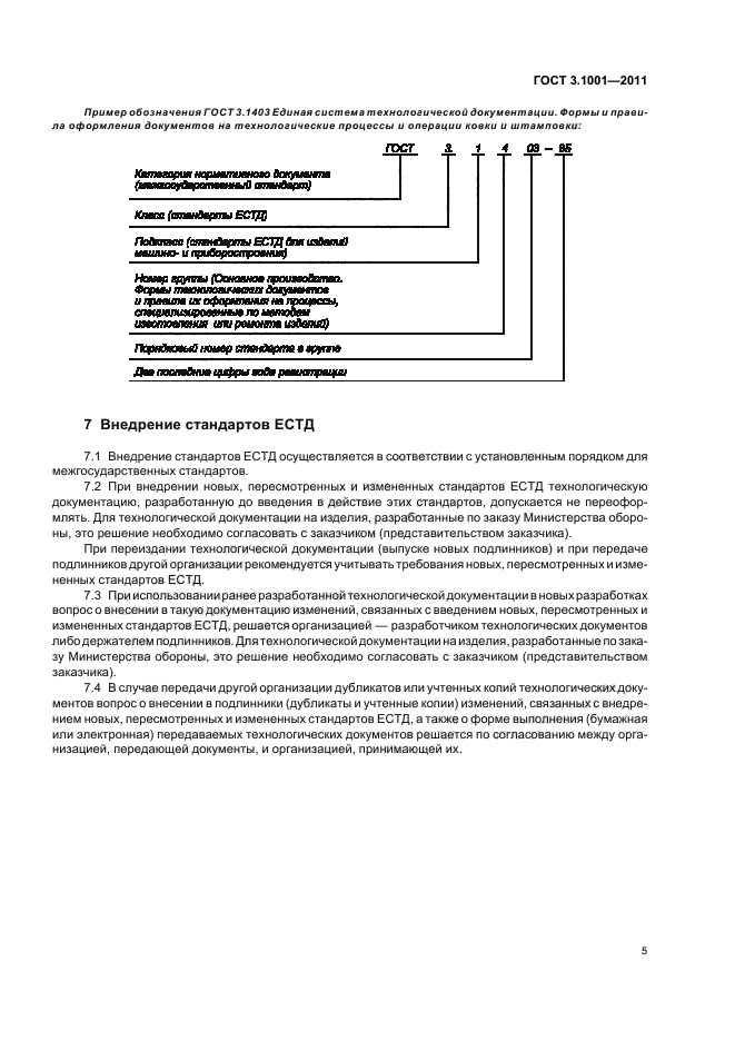
Область применения:Настоящий стандарт устанавливает определение, назначение, область распространения, классификацию, правила обозначения и порядок внедрения межгосударственных стандартов и рекомендаций, входящих в комплекс документов Единой системы технологической документации, применяемых машиностроительными и приборостроительными организациями.
Допускается распространение требований и правил Единой системы технологической документации на технологическую документацию, разрабатываемую и применяемую организациями и предприятиями других отраслей промышленности.
Установленные в межгосударственных стандартах Единой системы технологической документации правила и положения распространяются на все виды технологических документов, научно-техническую и учебную литературу в той части, в которой они могут быть для нее применены
Список изменений:№0 от 25.09.2012 (рег. 25.09.2012) «Дата введения перенесена»
№0 от 26.09.2012 (рег. 26.09.2012) «Дата введения перенесена»
Приложение №1:Поправка к ГОСТ 3.1001-2011
ГОСТ 3.1001-2011ГОСТ 3.1001-2011ГОСТ 3.1001-2011ГОСТ 3.1001-2011ГОСТ 3.1001-2011ГОСТ 3.1001-2011ГОСТ 3.1001-2011ГОСТ 3.1001-2011ГОСТ 3.1001-2011ГОСТ 3.1001-2011ГОСТ 3.1001-2011ГОСТ 3.1001-2011ГОСТ 3.1001-2011

Поправка к ГОСТ 3.1001-2011

Обозначение:Поправка к ГОСТ 3.1001-2011
Дата введения:25.09.2012


Поправка к ГОСТ 3.1001-2011
 




ГОСТЫ, СТРОИТЕЛЬНЫЕ и ТЕХНИЧЕСКИЕ НОРМАТИВЫ.
Некоммерческая онлайн система, содержащая все Российские Госты, национальные Стандарты и нормативы.
В Системе содержится более 150000 файлов нормативно-технической документации, действующей на территории РФ.
Система предназначена для широкого круга инженерно-технических специалистов.

Рейтинг@Mail.ru Яндекс цитирования

Copyright © www.gostrf.com, 2008 - 2026