Крупнейшая бесплатная информационно-справочная система онлайн доступа к полному собранию технических нормативно-правовых актов РФ. Огромная база технических нормативов (более 150 тысяч документов) и полное собрание национальных стандартов, аутентичное официальной базе Госстандарта. GOSTRF.com - это более 1 Терабайта бесплатной технической информации для всех пользователей интернета. Все электронные копии представленных здесь документов могут распространяться без каких-либо ограничений. Поощряется распространение информации с этого сайта на любых других ресурсах. Каждый человек имеет право на неограниченный доступ к этим документам! Каждый человек имеет право на знание требований, изложенных в данных нормативно-правовых актах!

  


 

ГОСТ Р ИСО 14813-1-2011

Интеллектуальные транспортные системы. Схема построения архитектуры интеллектуальных транспортных систем. Часть 1. Сервисные домены в области интеллектуальных транспортных систем, сервисные группы и сервисы

Обозначение:ГОСТ Р ИСО 14813-1-2011
Текущий статус документа: действующий
Название документа рус.:Интеллектуальные транспортные системы. Схема построения архитектуры интеллектуальных транспортных систем. Часть 1. Сервисные домены в области интеллектуальных транспортных систем, сервисные группы и сервисы
Название документа англ.:Intelligent transport systems. Reference model architecture(s) for the ITS sector. Part 1. ITS service domains, service groups and services
Дата актуализации текста:01.12.2013
Дата издания:05.12.2011
Дата введения:01.03.2012
Дата последнего изменения:22.05.2013
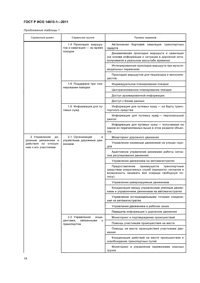
Область применения:Настоящий стандарт определяет первичные сервисы и области применения, которые могут быть предложены пользователям ИТС. В зависимости от общей цели эти первичные сервисы и области применения могут быть интегрированы в сервисные домены ИТС, а внутри каждого из них может быть несколько сервисных групп, охватывающих отдельные области домена. Настоящий стандарт идентифицирует 11 сервисных доменов, внутри каждого из которых определены многочисленные сервисные группы. В пределах этой структуры существуют меняющиеся совокупности деталей, относящиеся к определению различных сервисов. Эти детали могут изменяться от страны к стране в зависимости от того, базируются ли основные строительные блоки национальной архитектуры ИТС непосредственно на сервисах или на функциональных группах. Таким образом, задача заключается в том, чтобы создать привязку сервисных групп к соответствующим доменам, в рамках которых они существуют. Поскольку указанные домены и сервисные группы развиваются с течением времени, необходимо чтобы настоящий стандарт пересматривался, включая в себя изменяющиеся объекты.
Требования ИСО 14813-1:2007 связаны с деятельностью рабочих групп, входящих в ТК 204 ИСО и других ТК, разрабатывающих международные стандарты для сектора ИТС и ассоциированных секторов, граничащих с сектором ИТС (например, некоторые аспекты развития городского легкого рельсового транспорта, аспекты интермодальной перевозки грузов и соответствующего транспортного парка). Целью настоящего стандарта является обеспечение информацией и разъяснениями разработчиков международных стандартов в секторе ИТС, а также разработчиков технических условий, лиц и организаций, осуществляющих внедренческую деятельность и развитие в секторе ИТС.
Настоящий стандарт носит рекомендательный и справочный характер, а также способствует интеграции сервисов во взаимосвязанную архитектуру, функциональной совместимости и определению общих данных. В частности, сервисы, определенные в рамках сервисных групп, будут являться базисом для определения «случаев применения» и результирующей функциональности всей архитектуры наряду с определением прикладных данных в рамках словарей данных, а также применяемых стандартов в области коммуникации и обмена данными
ГОСТ Р ИСО 14813-1-2011ГОСТ Р ИСО 14813-1-2011ГОСТ Р ИСО 14813-1-2011ГОСТ Р ИСО 14813-1-2011ГОСТ Р ИСО 14813-1-2011ГОСТ Р ИСО 14813-1-2011ГОСТ Р ИСО 14813-1-2011ГОСТ Р ИСО 14813-1-2011ГОСТ Р ИСО 14813-1-2011ГОСТ Р ИСО 14813-1-2011ГОСТ Р ИСО 14813-1-2011ГОСТ Р ИСО 14813-1-2011ГОСТ Р ИСО 14813-1-2011ГОСТ Р ИСО 14813-1-2011ГОСТ Р ИСО 14813-1-2011ГОСТ Р ИСО 14813-1-2011ГОСТ Р ИСО 14813-1-2011ГОСТ Р ИСО 14813-1-2011ГОСТ Р ИСО 14813-1-2011ГОСТ Р ИСО 14813-1-2011ГОСТ Р ИСО 14813-1-2011ГОСТ Р ИСО 14813-1-2011ГОСТ Р ИСО 14813-1-2011ГОСТ Р ИСО 14813-1-2011ГОСТ Р ИСО 14813-1-2011ГОСТ Р ИСО 14813-1-2011ГОСТ Р ИСО 14813-1-2011ГОСТ Р ИСО 14813-1-2011ГОСТ Р ИСО 14813-1-2011ГОСТ Р ИСО 14813-1-2011ГОСТ Р ИСО 14813-1-2011ГОСТ Р ИСО 14813-1-2011
 




ГОСТЫ, СТРОИТЕЛЬНЫЕ и ТЕХНИЧЕСКИЕ НОРМАТИВЫ.
Некоммерческая онлайн система, содержащая все Российские Госты, национальные Стандарты и нормативы.
В Системе содержится более 150000 файлов нормативно-технической документации, действующей на территории РФ.
Система предназначена для широкого круга инженерно-технических специалистов.

Рейтинг@Mail.ru Яндекс цитирования

Copyright © www.gostrf.com, 2008 - 2026