Крупнейшая бесплатная информационно-справочная система онлайн доступа к полному собранию технических нормативно-правовых актов РФ. Огромная база технических нормативов (более 150 тысяч документов) и полное собрание национальных стандартов, аутентичное официальной базе Госстандарта. GOSTRF.com - это более 1 Терабайта бесплатной технической информации для всех пользователей интернета. Все электронные копии представленных здесь документов могут распространяться без каких-либо ограничений. Поощряется распространение информации с этого сайта на любых других ресурсах. Каждый человек имеет право на неограниченный доступ к этим документам! Каждый человек имеет право на знание требований, изложенных в данных нормативно-правовых актах!

  


 

ГОСТ Р ИСО 7405-2011

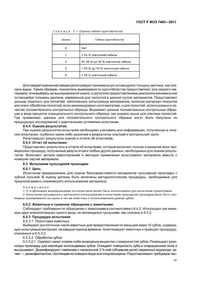
Стоматология. Оценка биологической совместимости медицинских изделий, применяемых в стоматологии

Обозначение:ГОСТ Р ИСО 7405-2011
Текущий статус документа: действующий
Название документа рус.:Стоматология. Оценка биологической совместимости медицинских изделий, применяемых в стоматологии
Название документа англ.:Dentistry. Evaluation of biocompatibility of medical devices used in dentistry
Дата актуализации текста:01.12.2013
Дата издания:07.12.2011
Дата введения:01.03.2012
Дата последнего изменения:22.05.2013
Область применения:Настоящий стандарт устанавливает методы исследования для оценки биологического эффекта медицинских изделий, применяемых в стоматологии. Он включает испытание фармакологических агентов, являющихся неотъемлемой частью испытуемого устройства.
Настоящий стандарт не распространяется на испытания материалов и устройств, которые не контактируют прямо или косвенно с организмом пациента
ГОСТ Р ИСО 7405-2011ГОСТ Р ИСО 7405-2011ГОСТ Р ИСО 7405-2011ГОСТ Р ИСО 7405-2011ГОСТ Р ИСО 7405-2011ГОСТ Р ИСО 7405-2011ГОСТ Р ИСО 7405-2011ГОСТ Р ИСО 7405-2011ГОСТ Р ИСО 7405-2011ГОСТ Р ИСО 7405-2011ГОСТ Р ИСО 7405-2011ГОСТ Р ИСО 7405-2011ГОСТ Р ИСО 7405-2011ГОСТ Р ИСО 7405-2011ГОСТ Р ИСО 7405-2011ГОСТ Р ИСО 7405-2011ГОСТ Р ИСО 7405-2011ГОСТ Р ИСО 7405-2011ГОСТ Р ИСО 7405-2011ГОСТ Р ИСО 7405-2011ГОСТ Р ИСО 7405-2011ГОСТ Р ИСО 7405-2011ГОСТ Р ИСО 7405-2011ГОСТ Р ИСО 7405-2011ГОСТ Р ИСО 7405-2011ГОСТ Р ИСО 7405-2011ГОСТ Р ИСО 7405-2011ГОСТ Р ИСО 7405-2011ГОСТ Р ИСО 7405-2011ГОСТ Р ИСО 7405-2011ГОСТ Р ИСО 7405-2011ГОСТ Р ИСО 7405-2011ГОСТ Р ИСО 7405-2011ГОСТ Р ИСО 7405-2011ГОСТ Р ИСО 7405-2011ГОСТ Р ИСО 7405-2011
 




ГОСТЫ, СТРОИТЕЛЬНЫЕ и ТЕХНИЧЕСКИЕ НОРМАТИВЫ.
Некоммерческая онлайн система, содержащая все Российские Госты, национальные Стандарты и нормативы.
В Системе содержится более 150000 файлов нормативно-технической документации, действующей на территории РФ.
Система предназначена для широкого круга инженерно-технических специалистов.

Рейтинг@Mail.ru Яндекс цитирования

Copyright © www.gostrf.com, 2008 - 2026