Крупнейшая бесплатная информационно-справочная система онлайн доступа к полному собранию технических нормативно-правовых актов РФ. Огромная база технических нормативов (более 150 тысяч документов) и полное собрание национальных стандартов, аутентичное официальной базе Госстандарта. GOSTRF.com - это более 1 Терабайта бесплатной технической информации для всех пользователей интернета. Все электронные копии представленных здесь документов могут распространяться без каких-либо ограничений. Поощряется распространение информации с этого сайта на любых других ресурсах. Каждый человек имеет право на неограниченный доступ к этим документам! Каждый человек имеет право на знание требований, изложенных в данных нормативно-правовых актах!

  


 

ГОСТ Р МЭК 61226-2011

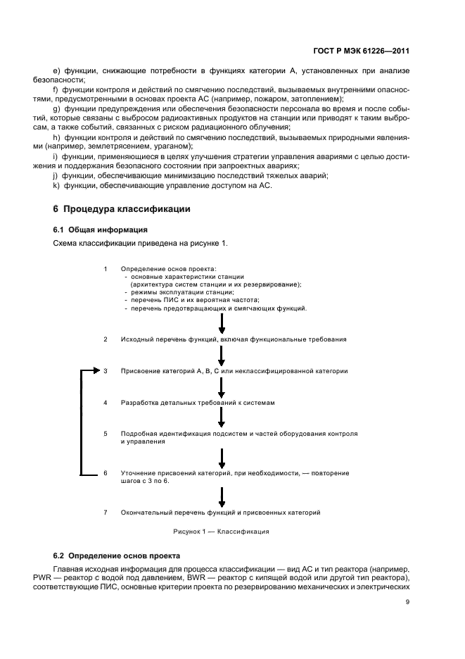
Атомные станции. Системы контроля и управления, важные для безопасности. Классификация функций контроля и управления

Обозначение:ГОСТ Р МЭК 61226-2011
Текущий статус документа: действующий
Название документа рус.:Атомные станции. Системы контроля и управления, важные для безопасности. Классификация функций контроля и управления
Название документа англ.:Nuclear power plants. Instrumentation and control systems important for safety. Classification of instrumentation and control functions
Дата актуализации текста:01.12.2013
Дата издания:06.12.2011
Дата введения:01.01.2012
Дата последнего изменения:23.05.2013
Область применения:Настоящий международный стандарт устанавливает метод классификации управляющих и информационных функций для атомных станций, а также классификации систем контроля и управления, оборудования, которые обеспечивают эти функции, в категории, обозначающей важность функции для безопасности. В соответствии с полученной классификацией затем определяют критерии проекта
ГОСТ Р МЭК 61226-2011ГОСТ Р МЭК 61226-2011ГОСТ Р МЭК 61226-2011ГОСТ Р МЭК 61226-2011ГОСТ Р МЭК 61226-2011ГОСТ Р МЭК 61226-2011ГОСТ Р МЭК 61226-2011ГОСТ Р МЭК 61226-2011ГОСТ Р МЭК 61226-2011ГОСТ Р МЭК 61226-2011ГОСТ Р МЭК 61226-2011ГОСТ Р МЭК 61226-2011ГОСТ Р МЭК 61226-2011ГОСТ Р МЭК 61226-2011ГОСТ Р МЭК 61226-2011ГОСТ Р МЭК 61226-2011ГОСТ Р МЭК 61226-2011ГОСТ Р МЭК 61226-2011ГОСТ Р МЭК 61226-2011ГОСТ Р МЭК 61226-2011ГОСТ Р МЭК 61226-2011ГОСТ Р МЭК 61226-2011ГОСТ Р МЭК 61226-2011ГОСТ Р МЭК 61226-2011ГОСТ Р МЭК 61226-2011ГОСТ Р МЭК 61226-2011ГОСТ Р МЭК 61226-2011ГОСТ Р МЭК 61226-2011
 




ГОСТЫ, СТРОИТЕЛЬНЫЕ и ТЕХНИЧЕСКИЕ НОРМАТИВЫ.
Некоммерческая онлайн система, содержащая все Российские Госты, национальные Стандарты и нормативы.
В Системе содержится более 150000 файлов нормативно-технической документации, действующей на территории РФ.
Система предназначена для широкого круга инженерно-технических специалистов.

Рейтинг@Mail.ru Яндекс цитирования

Copyright © www.gostrf.com, 2008 - 2026