Крупнейшая бесплатная информационно-справочная система онлайн доступа к полному собранию технических нормативно-правовых актов РФ. Огромная база технических нормативов (более 150 тысяч документов) и полное собрание национальных стандартов, аутентичное официальной базе Госстандарта. GOSTRF.com - это более 1 Терабайта бесплатной технической информации для всех пользователей интернета. Все электронные копии представленных здесь документов могут распространяться без каких-либо ограничений. Поощряется распространение информации с этого сайта на любых других ресурсах. Каждый человек имеет право на неограниченный доступ к этим документам! Каждый человек имеет право на знание требований, изложенных в данных нормативно-правовых актах!

  


 

ГОСТ Р 54463-2011

Тара из картона и комбинированных материалов для пищевой продукции. Технические условия

Обозначение:ГОСТ Р 54463-2011
Текущий статус документа: действующий
Название документа рус.:Тара из картона и комбинированных материалов для пищевой продукции. Технические условия
Название документа англ.:Pасkаgе from рареrboard and composite materials for food-stuffs. Speсifiсаtiоns
Дата актуализации текста:01.12.2013
Дата издания:02.12.2011
Дата введения:01.03.2012
Дата последнего изменения:22.05.2013
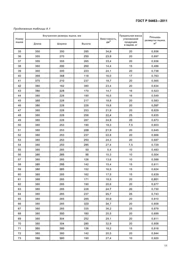
Область применения:Настоящий стандарт распространяется на тару из картона и комбинированных материалов - ящики с четырехклапанными дном и крышкой, складные лотковые и оберточные ящики, предназначенные для упаковывания, транспортирования и хранения пищевой продукции.
Ящики могут применяться для упаковывания другой продукции массой, не превышающей предельную, если они обеспечивают сохранность и качество продукции.
Ящики, предназначенные для упаковывания, транспортирования и хранения пищевой продукции, отправляемой в районы Крайнего Севера и приравненные к ним местности, должны соответствовать ГОСТ 15846
ГОСТ Р 54463-2011ГОСТ Р 54463-2011ГОСТ Р 54463-2011ГОСТ Р 54463-2011ГОСТ Р 54463-2011ГОСТ Р 54463-2011ГОСТ Р 54463-2011ГОСТ Р 54463-2011ГОСТ Р 54463-2011ГОСТ Р 54463-2011ГОСТ Р 54463-2011ГОСТ Р 54463-2011ГОСТ Р 54463-2011ГОСТ Р 54463-2011ГОСТ Р 54463-2011ГОСТ Р 54463-2011ГОСТ Р 54463-2011ГОСТ Р 54463-2011ГОСТ Р 54463-2011ГОСТ Р 54463-2011
 




ГОСТЫ, СТРОИТЕЛЬНЫЕ и ТЕХНИЧЕСКИЕ НОРМАТИВЫ.
Некоммерческая онлайн система, содержащая все Российские Госты, национальные Стандарты и нормативы.
В Системе содержится более 150000 файлов нормативно-технической документации, действующей на территории РФ.
Система предназначена для широкого круга инженерно-технических специалистов.

Рейтинг@Mail.ru Яндекс цитирования

Copyright © www.gostrf.com, 2008 - 2026