Крупнейшая бесплатная информационно-справочная система онлайн доступа к полному собранию технических нормативно-правовых актов РФ. Огромная база технических нормативов (более 150 тысяч документов) и полное собрание национальных стандартов, аутентичное официальной базе Госстандарта. GOSTRF.com - это более 1 Терабайта бесплатной технической информации для всех пользователей интернета. Все электронные копии представленных здесь документов могут распространяться без каких-либо ограничений. Поощряется распространение информации с этого сайта на любых других ресурсах. Каждый человек имеет право на неограниченный доступ к этим документам! Каждый человек имеет право на знание требований, изложенных в данных нормативно-правовых актах!

  


 

ГОСТ Р 54164-2010

Стекло и изделия из него. Методы определения оптических характеристик. Определение световых и солнечных характеристик

Обозначение:ГОСТ Р 54164-2010
Текущий статус документа: действующий
Название документа рус.:Стекло и изделия из него. Методы определения оптических характеристик. Определение световых и солнечных характеристик
Название документа англ.:Glass and glass products. Optical characteristics determination methods. Determination of luminous and solar characteristics
Дата актуализации текста:01.12.2013
Дата издания:26.03.2012
Дата введения:01.07.2012
Дата последнего изменения:22.05.2013
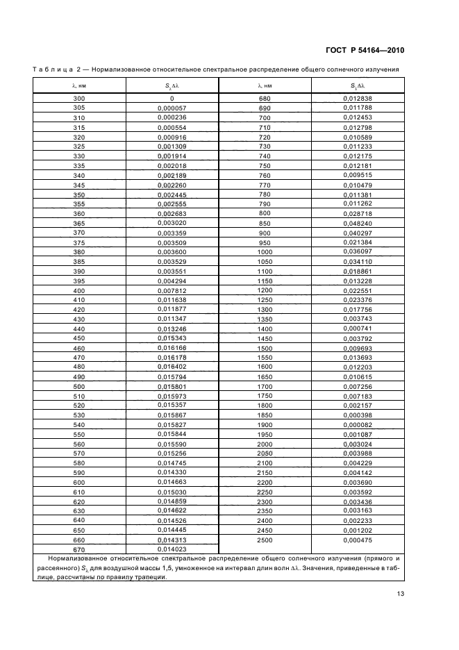
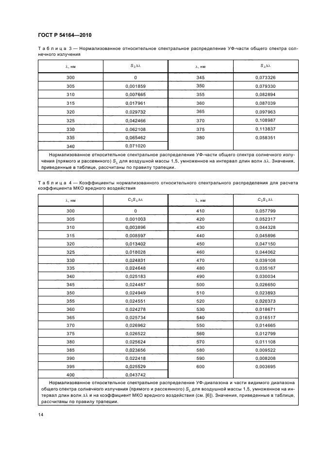
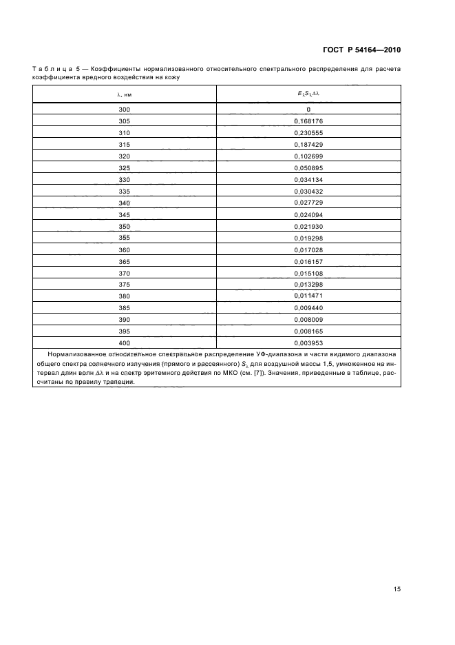
Область применения:Настоящий стандарт устанавливает методы определения световых и солнечных характеристик остекления зданий, сооружений, средств транспорта, а также различных видов стекла и изделий из него. Значения этих характеристик могут служить основой для расчетов уровня освещенности, обогрева и вентиляции помещений и для сравнительной оценки различных типов остекления.
Настоящий стандарт распространяется на обычное и солнцезащитное (поглощающее или отражающее солнечное излучение) остекление, применяемое для остекления световых проемов. Приведены соответствующие формулы для одинарного, двойного и тройного остекления. Кроме того, установлены общие методы расчета для остекления, состоящего из большего количества слоев
ГОСТ Р 54164-2010ГОСТ Р 54164-2010ГОСТ Р 54164-2010ГОСТ Р 54164-2010ГОСТ Р 54164-2010ГОСТ Р 54164-2010ГОСТ Р 54164-2010ГОСТ Р 54164-2010ГОСТ Р 54164-2010ГОСТ Р 54164-2010ГОСТ Р 54164-2010ГОСТ Р 54164-2010ГОСТ Р 54164-2010ГОСТ Р 54164-2010ГОСТ Р 54164-2010ГОСТ Р 54164-2010ГОСТ Р 54164-2010ГОСТ Р 54164-2010ГОСТ Р 54164-2010ГОСТ Р 54164-2010ГОСТ Р 54164-2010ГОСТ Р 54164-2010ГОСТ Р 54164-2010ГОСТ Р 54164-2010
 




ГОСТЫ, СТРОИТЕЛЬНЫЕ и ТЕХНИЧЕСКИЕ НОРМАТИВЫ.
Некоммерческая онлайн система, содержащая все Российские Госты, национальные Стандарты и нормативы.
В Системе содержится более 150000 файлов нормативно-технической документации, действующей на территории РФ.
Система предназначена для широкого круга инженерно-технических специалистов.

Рейтинг@Mail.ru Яндекс цитирования

Copyright © www.gostrf.com, 2008 - 2026