Крупнейшая бесплатная информационно-справочная система онлайн доступа к полному собранию технических нормативно-правовых актов РФ. Огромная база технических нормативов (более 150 тысяч документов) и полное собрание национальных стандартов, аутентичное официальной базе Госстандарта. GOSTRF.com - это более 1 Терабайта бесплатной технической информации для всех пользователей интернета. Все электронные копии представленных здесь документов могут распространяться без каких-либо ограничений. Поощряется распространение информации с этого сайта на любых других ресурсах. Каждый человек имеет право на неограниченный доступ к этим документам! Каждый человек имеет право на знание требований, изложенных в данных нормативно-правовых актах!

  


 

ГОСТ Р 54265-2010

Воздушный транспорт. Авиационные работы. Классификация

Обозначение:ГОСТ Р 54265-2010
Текущий статус документа: действующий
Название документа рус.:Воздушный транспорт. Авиационные работы. Классификация
Название документа англ.:Air transport. Aviation works. Classification
Дата актуализации текста:01.12.2013
Дата издания:10.02.2012
Дата введения:01.07.2012
Дата последнего изменения:23.05.2013
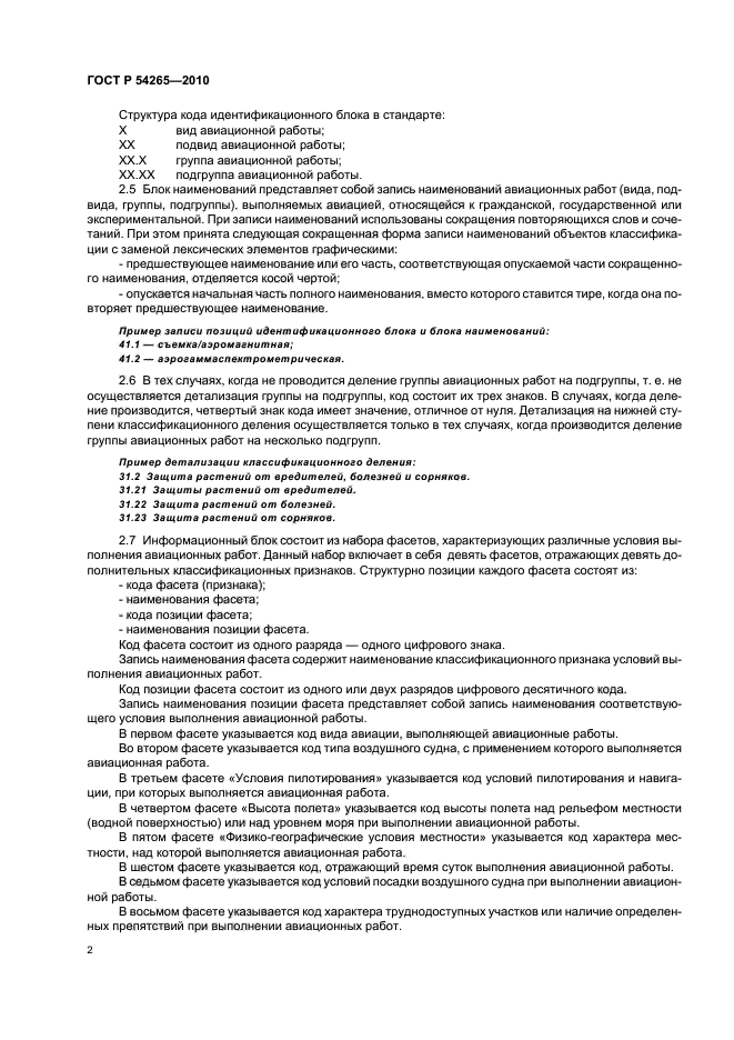
Область применения:Настоящий стандарт устанавливает коды и наименования классификационных группировок, используемых для классификации и кодирования авиационных работ, выполняемых с использованием полетов воздушных судов с определенными целями для обеспечения потребностей граждан и экономики страны, и условий их выполнения.
Настоящий стандарт предназначен для применения федеральными органами исполнительной власти, органами законодательной и исполнительной власти субъектов Российской Федерации, организациями независимо от форм собственности и организационно-правовых форм, индивидуальными предпринимателями и физическими лицами при идентификации авиационных работ, регулировании и описании деятельности в области авиации, общении на одном языке уполномоченных органов в различных областях деятельности, имеющих отношение к авиационным работам, и производителей и потребителей данных работ, а также для решения широкого круга задач, связанных с организацией, подготовкой, обеспечением и выполнением авиационных работ
ГОСТ Р 54265-2010ГОСТ Р 54265-2010ГОСТ Р 54265-2010ГОСТ Р 54265-2010ГОСТ Р 54265-2010ГОСТ Р 54265-2010ГОСТ Р 54265-2010ГОСТ Р 54265-2010ГОСТ Р 54265-2010ГОСТ Р 54265-2010ГОСТ Р 54265-2010ГОСТ Р 54265-2010ГОСТ Р 54265-2010ГОСТ Р 54265-2010ГОСТ Р 54265-2010ГОСТ Р 54265-2010ГОСТ Р 54265-2010ГОСТ Р 54265-2010ГОСТ Р 54265-2010ГОСТ Р 54265-2010ГОСТ Р 54265-2010ГОСТ Р 54265-2010ГОСТ Р 54265-2010ГОСТ Р 54265-2010
 




ГОСТЫ, СТРОИТЕЛЬНЫЕ и ТЕХНИЧЕСКИЕ НОРМАТИВЫ.
Некоммерческая онлайн система, содержащая все Российские Госты, национальные Стандарты и нормативы.
В Системе содержится более 150000 файлов нормативно-технической документации, действующей на территории РФ.
Система предназначена для широкого круга инженерно-технических специалистов.

Рейтинг@Mail.ru Яндекс цитирования

Copyright © www.gostrf.com, 2008 - 2026