Крупнейшая бесплатная информационно-справочная система онлайн доступа к полному собранию технических нормативно-правовых актов РФ. Огромная база технических нормативов (более 150 тысяч документов) и полное собрание национальных стандартов, аутентичное официальной базе Госстандарта. GOSTRF.com - это более 1 Терабайта бесплатной технической информации для всех пользователей интернета. Все электронные копии представленных здесь документов могут распространяться без каких-либо ограничений. Поощряется распространение информации с этого сайта на любых других ресурсах. Каждый человек имеет право на неограниченный доступ к этим документам! Каждый человек имеет право на знание требований, изложенных в данных нормативно-правовых актах!

  


 

ГОСТ Р ИСО 15531-32-2010

Системы промышленной автоматизации и интеграция. Управляющая информация промышленным производством. Управление использованием ресурсов. Часть 32. Концептуальная модель данных для управления использованием ресурсов

Обозначение:ГОСТ Р ИСО 15531-32-2010
Текущий статус документа: действующий
Название документа рус.:Системы промышленной автоматизации и интеграция. Управляющая информация промышленным производством. Управление использованием ресурсов. Часть 32. Концептуальная модель данных для управления использованием ресурсов
Название документа англ.:Industrial automation systems and integration. Industrial manufacturing management data. Resources usage management. Part 32. Conceptual model for resources usage management data
Дата актуализации текста:01.12.2013
Дата издания:25.01.2012
Дата введения:01.09.2011
Дата последнего изменения:22.05.2013
Область применения:Настоящий стандарт распространяется на полное описание концептуальной модели данных для управления использованием ресурсов, основанное на информационной модели ресурсов и основных принципах, представленных в ИСО 15531-31.
Настоящий стандарт устанавливает:
- описание концептуальной информационной модели ресурсов и связанных с ней определений данных для управления использованием ресурсов;
- описание на языке EXPRESS модели и связанных с ней сущностей;
- схему EXPRESS-G модели
ГОСТ Р ИСО 15531-32-2010ГОСТ Р ИСО 15531-32-2010ГОСТ Р ИСО 15531-32-2010ГОСТ Р ИСО 15531-32-2010ГОСТ Р ИСО 15531-32-2010ГОСТ Р ИСО 15531-32-2010ГОСТ Р ИСО 15531-32-2010ГОСТ Р ИСО 15531-32-2010ГОСТ Р ИСО 15531-32-2010ГОСТ Р ИСО 15531-32-2010ГОСТ Р ИСО 15531-32-2010ГОСТ Р ИСО 15531-32-2010ГОСТ Р ИСО 15531-32-2010ГОСТ Р ИСО 15531-32-2010ГОСТ Р ИСО 15531-32-2010ГОСТ Р ИСО 15531-32-2010ГОСТ Р ИСО 15531-32-2010ГОСТ Р ИСО 15531-32-2010ГОСТ Р ИСО 15531-32-2010ГОСТ Р ИСО 15531-32-2010ГОСТ Р ИСО 15531-32-2010ГОСТ Р ИСО 15531-32-2010ГОСТ Р ИСО 15531-32-2010ГОСТ Р ИСО 15531-32-2010ГОСТ Р ИСО 15531-32-2010ГОСТ Р ИСО 15531-32-2010ГОСТ Р ИСО 15531-32-2010ГОСТ Р ИСО 15531-32-2010ГОСТ Р ИСО 15531-32-2010ГОСТ Р ИСО 15531-32-2010ГОСТ Р ИСО 15531-32-2010ГОСТ Р ИСО 15531-32-2010
 




ГОСТЫ, СТРОИТЕЛЬНЫЕ и ТЕХНИЧЕСКИЕ НОРМАТИВЫ.
Некоммерческая онлайн система, содержащая все Российские Госты, национальные Стандарты и нормативы.
В Системе содержится более 150000 файлов нормативно-технической документации, действующей на территории РФ.
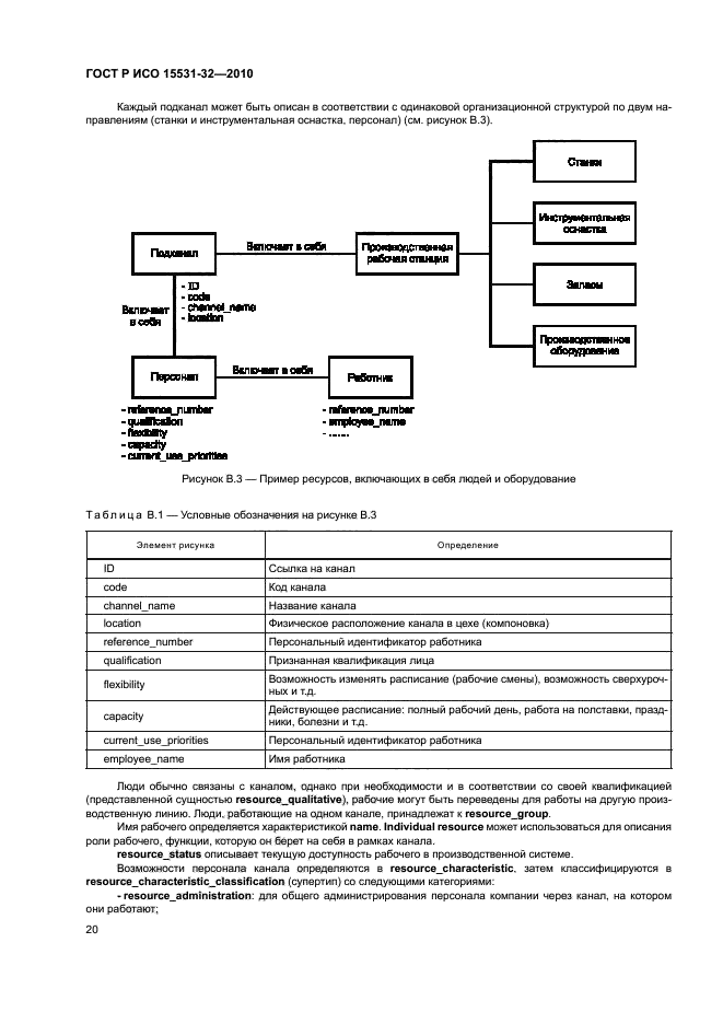
Система предназначена для широкого круга инженерно-технических специалистов.

Рейтинг@Mail.ru Яндекс цитирования

Copyright © www.gostrf.com, 2008 - 2026