Крупнейшая бесплатная информационно-справочная система онлайн доступа к полному собранию технических нормативно-правовых актов РФ. Огромная база технических нормативов (более 150 тысяч документов) и полное собрание национальных стандартов, аутентичное официальной базе Госстандарта. GOSTRF.com - это более 1 Терабайта бесплатной технической информации для всех пользователей интернета. Все электронные копии представленных здесь документов могут распространяться без каких-либо ограничений. Поощряется распространение информации с этого сайта на любых других ресурсах. Каждый человек имеет право на неограниченный доступ к этим документам! Каждый человек имеет право на знание требований, изложенных в данных нормативно-правовых актах!

  


 

ГОСТ Р ИСО 26382-2011

Установки когенераторные. Общие технические требования

Обозначение:ГОСТ Р ИСО 26382-2011
Текущий статус документа: действующий
Название документа рус.:Установки когенераторные. Общие технические требования
Название документа англ.:Cogeneration systems. General technical requirements
Дата актуализации текста:01.12.2013
Дата издания:29.02.2012
Дата введения:01.06.2012
Дата последнего изменения:22.05.2013
Область применения:Настоящий стандарт распространяется на когенераторные установки газотурбинных установок.
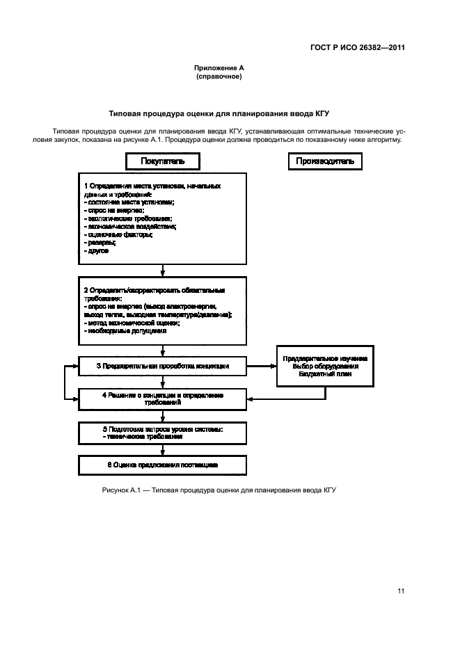
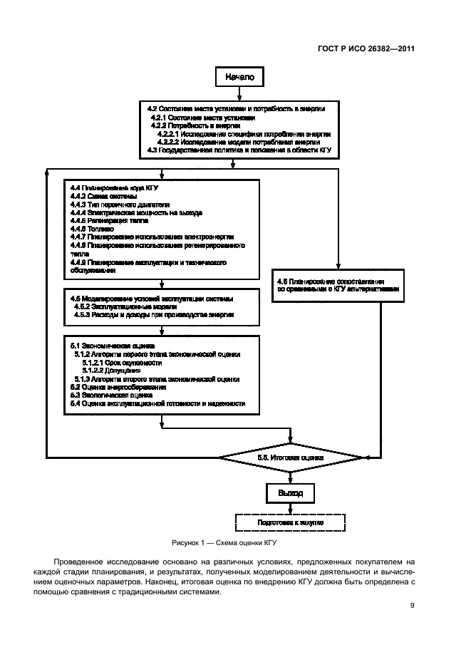
Настоящий стандарт устанавливает аспекты исследования для оценки проекта, оценки когенераторных установок и первичных сведений для закупки когенераторных установок, а также необходимые контрольные показатели в процессе планирования применения когенераторных установок, обеспечивает процедуру достижения удовлетворяющей конфигурации когенераторных установок для каждого проекта и включает подробную схему этапов в процессе развития проекта
ГОСТ Р ИСО 26382-2011ГОСТ Р ИСО 26382-2011ГОСТ Р ИСО 26382-2011ГОСТ Р ИСО 26382-2011ГОСТ Р ИСО 26382-2011ГОСТ Р ИСО 26382-2011ГОСТ Р ИСО 26382-2011ГОСТ Р ИСО 26382-2011ГОСТ Р ИСО 26382-2011ГОСТ Р ИСО 26382-2011ГОСТ Р ИСО 26382-2011ГОСТ Р ИСО 26382-2011ГОСТ Р ИСО 26382-2011ГОСТ Р ИСО 26382-2011ГОСТ Р ИСО 26382-2011ГОСТ Р ИСО 26382-2011ГОСТ Р ИСО 26382-2011ГОСТ Р ИСО 26382-2011ГОСТ Р ИСО 26382-2011ГОСТ Р ИСО 26382-2011ГОСТ Р ИСО 26382-2011ГОСТ Р ИСО 26382-2011ГОСТ Р ИСО 26382-2011ГОСТ Р ИСО 26382-2011
 




ГОСТЫ, СТРОИТЕЛЬНЫЕ и ТЕХНИЧЕСКИЕ НОРМАТИВЫ.
Некоммерческая онлайн система, содержащая все Российские Госты, национальные Стандарты и нормативы.
В Системе содержится более 150000 файлов нормативно-технической документации, действующей на территории РФ.
Система предназначена для широкого круга инженерно-технических специалистов.

Рейтинг@Mail.ru Яндекс цитирования

Copyright © www.gostrf.com, 2008 - 2026