Крупнейшая бесплатная информационно-справочная система онлайн доступа к полному собранию технических нормативно-правовых актов РФ. Огромная база технических нормативов (более 150 тысяч документов) и полное собрание национальных стандартов, аутентичное официальной базе Госстандарта. GOSTRF.com - это более 1 Терабайта бесплатной технической информации для всех пользователей интернета. Все электронные копии представленных здесь документов могут распространяться без каких-либо ограничений. Поощряется распространение информации с этого сайта на любых других ресурсах. Каждый человек имеет право на неограниченный доступ к этим документам! Каждый человек имеет право на знание требований, изложенных в данных нормативно-правовых актах!

  


 

ГОСТ Р ИСО/МЭК 11179-1-2010

Информационная технология. Регистры метаданных (РМД). Часть 1. Основные положения

Обозначение:ГОСТ Р ИСО/МЭК 11179-1-2010
Текущий статус документа: действующий
Название документа рус.:Информационная технология. Регистры метаданных (РМД). Часть 1. Основные положения
Название документа англ.:Information technology. Metadata registries (MDR). Part 1. Framework
Дата актуализации текста:01.12.2013
Дата издания:01.03.2012
Дата введения:01.06.2012
Дата последнего изменения:22.05.2013
Область применения:Стандарты серии ГОСТ Р ИСО/МЭК 11179 определяют виды и качество метаданных, необходимых для описания данных, и специфицируют управление и администрирование этих метаданных в регистре метаданных (РМД). Эти стандарты применяют при формулировке представлений данных, понятий, смысла и взаимосвязей между ними для совместного использования людьми и машинами независимо от организации создания данных. Эти стандарты не применяют для физического представления данных в виде битов или байтов на машинном уровне.
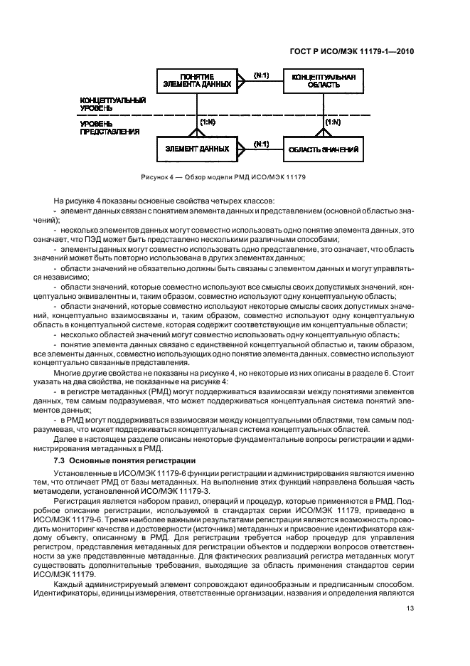
В стандартах серии ГОСТ Р ИСО/МЭК 11179 метаданные означают описания данных. Эти стандарты не содержат общей трактовки метаданных. Настоящая часть ГОСТ Р ИСО/МЭК 11179 обеспечивает понимание места отдельных частей стандартов данной серии и их взаимосвязей, а также является основой для концептуального понимания метаданных и регистров метаданных
ГОСТ Р ИСО/МЭК 11179-1-2010ГОСТ Р ИСО/МЭК 11179-1-2010ГОСТ Р ИСО/МЭК 11179-1-2010ГОСТ Р ИСО/МЭК 11179-1-2010ГОСТ Р ИСО/МЭК 11179-1-2010ГОСТ Р ИСО/МЭК 11179-1-2010ГОСТ Р ИСО/МЭК 11179-1-2010ГОСТ Р ИСО/МЭК 11179-1-2010ГОСТ Р ИСО/МЭК 11179-1-2010ГОСТ Р ИСО/МЭК 11179-1-2010ГОСТ Р ИСО/МЭК 11179-1-2010ГОСТ Р ИСО/МЭК 11179-1-2010ГОСТ Р ИСО/МЭК 11179-1-2010ГОСТ Р ИСО/МЭК 11179-1-2010ГОСТ Р ИСО/МЭК 11179-1-2010ГОСТ Р ИСО/МЭК 11179-1-2010ГОСТ Р ИСО/МЭК 11179-1-2010ГОСТ Р ИСО/МЭК 11179-1-2010ГОСТ Р ИСО/МЭК 11179-1-2010ГОСТ Р ИСО/МЭК 11179-1-2010ГОСТ Р ИСО/МЭК 11179-1-2010ГОСТ Р ИСО/МЭК 11179-1-2010ГОСТ Р ИСО/МЭК 11179-1-2010ГОСТ Р ИСО/МЭК 11179-1-2010
 




ГОСТЫ, СТРОИТЕЛЬНЫЕ и ТЕХНИЧЕСКИЕ НОРМАТИВЫ.
Некоммерческая онлайн система, содержащая все Российские Госты, национальные Стандарты и нормативы.
В Системе содержится более 150000 файлов нормативно-технической документации, действующей на территории РФ.
Система предназначена для широкого круга инженерно-технических специалистов.

Рейтинг@Mail.ru Яндекс цитирования

Copyright © www.gostrf.com, 2008 - 2026