Крупнейшая бесплатная информационно-справочная система онлайн доступа к полному собранию технических нормативно-правовых актов РФ. Огромная база технических нормативов (более 150 тысяч документов) и полное собрание национальных стандартов, аутентичное официальной базе Госстандарта. GOSTRF.com - это более 1 Терабайта бесплатной технической информации для всех пользователей интернета. Все электронные копии представленных здесь документов могут распространяться без каких-либо ограничений. Поощряется распространение информации с этого сайта на любых других ресурсах. Каждый человек имеет право на неограниченный доступ к этим документам! Каждый человек имеет право на знание требований, изложенных в данных нормативно-правовых актах!

  


 

ГОСТ Р 54524-2011

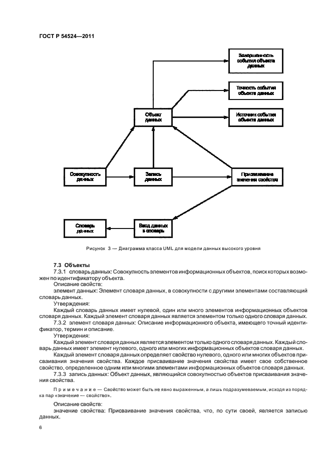
Качество данных. Часть 100. Основные данные. Обмен данными характеристик. Обзор

Обозначение:ГОСТ Р 54524-2011
Текущий статус документа: действующий
Название документа рус.:Качество данных. Часть 100. Основные данные. Обмен данными характеристик. Обзор
Название документа англ.:Data qulity. Part 100. Master data. Exchange of characteristic data. Overview
Дата актуализации текста:01.12.2013
Дата издания:22.03.2012
Дата введения:01.07.2012
Дата последнего изменения:22.05.2013
Область применения:Настоящий стандарт представляет обзор комплекса стандартов ИСO 8000, рассматривающих вопросы качества основных данных.
Стандарты ИСO 8000 по качеству основных данных распространяются на:
- специальные аспекты основных данных в системе управления качеством;
- показатели качества основных данных.
Комплекс стандартов ИСО 8000 рассматривает вопросы качества данных следующим образом:
- по восходящей, т.е. от наименьших значимых элементов, от значения свойства;
- на границе (интерфейс) систем управления качеством, а не внутри этих систем.
Текущие издания комплекса стандартов ИСО 8000 по вопросам качества основных данных устанавливают соответствующие требования, позволяющие производить обмен основными данными характеристик между организациями и системами, а также обращаться к качеству значений свойств, обмен которыми постоянно осуществляется с помощью посланий и сообщений.
Настоящий стандарт распространяется на:
- спецификацию области распространения качества основных данных в стандартах ИСО 8000;
- представление основных данных;
- обзор содержания других стандартов, входящих в данный комплекс.
Настоящий стандарт не распространяется на:
- аспекты качества данных, относящиеся ко всем типам данных, включая основные данные;
- аспекты качества данных, которые не относятся к основным данным
ГОСТ Р 54524-2011ГОСТ Р 54524-2011ГОСТ Р 54524-2011ГОСТ Р 54524-2011ГОСТ Р 54524-2011ГОСТ Р 54524-2011ГОСТ Р 54524-2011ГОСТ Р 54524-2011ГОСТ Р 54524-2011ГОСТ Р 54524-2011ГОСТ Р 54524-2011ГОСТ Р 54524-2011ГОСТ Р 54524-2011ГОСТ Р 54524-2011ГОСТ Р 54524-2011ГОСТ Р 54524-2011
 




ГОСТЫ, СТРОИТЕЛЬНЫЕ и ТЕХНИЧЕСКИЕ НОРМАТИВЫ.
Некоммерческая онлайн система, содержащая все Российские Госты, национальные Стандарты и нормативы.
В Системе содержится более 150000 файлов нормативно-технической документации, действующей на территории РФ.
Система предназначена для широкого круга инженерно-технических специалистов.

Рейтинг@Mail.ru Яндекс цитирования

Copyright © www.gostrf.com, 2008 - 2026