Крупнейшая бесплатная информационно-справочная система онлайн доступа к полному собранию технических нормативно-правовых актов РФ. Огромная база технических нормативов (более 150 тысяч документов) и полное собрание национальных стандартов, аутентичное официальной базе Госстандарта. GOSTRF.com - это более 1 Терабайта бесплатной технической информации для всех пользователей интернета. Все электронные копии представленных здесь документов могут распространяться без каких-либо ограничений. Поощряется распространение информации с этого сайта на любых других ресурсах. Каждый человек имеет право на неограниченный доступ к этим документам! Каждый человек имеет право на знание требований, изложенных в данных нормативно-правовых актах!

  


 

ГОСТ Р ИСО 8000-110-2011

Качество данных. Часть 110. Основные данные. Обмен данными характеристик. Синтаксис, семантическое кодирование и соответствие спецификации данных

Обозначение:ГОСТ Р ИСО 8000-110-2011
Текущий статус документа: действующий
Название документа рус.:Качество данных. Часть 110. Основные данные. Обмен данными характеристик. Синтаксис, семантическое кодирование и соответствие спецификации данных
Название документа англ.:Data quality. Part 110. Master data. Exchange of characteristic data. Syntax, semantic encoding, and conformance to data specification
Дата актуализации текста:01.12.2013
Дата издания:02.04.2012
Дата введения:01.07.2012
Дата последнего изменения:22.05.2013
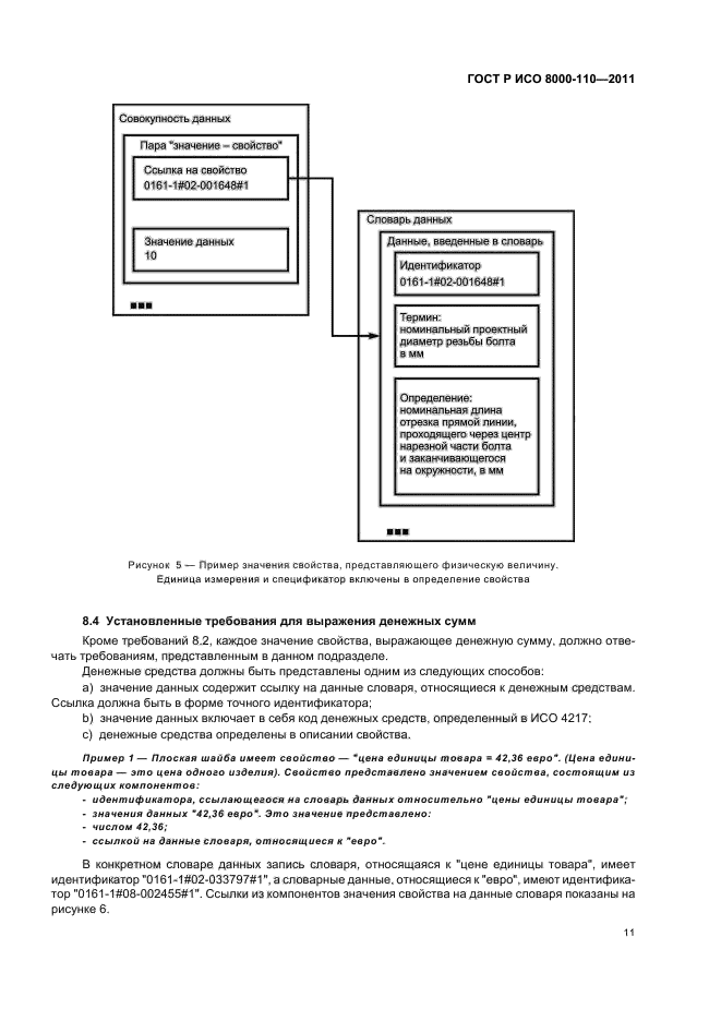
Область применения:Настоящий стандарт устанавливает требования для обмена основными данными характеристик между организациями и системами.
Настоящий стандарт распространяется на:
- требования, касающиеся соответствия основных данных в сообщениях и формального синтаксиса;
- требования семантического кодирования основных данных в сообщениях;
- требования, касающиеся соответствия основных данных в сообщениях и спецификаций данных;
- требования, касающиеся коммерческой модели обмена основными данными.
Настоящий стандарт не распространяется на:
- требования, относящиеся к основным данным, которые не являются данными характеристик;
- требования, относящиеся к данным, не входящим в сообщения;
- требования, относящиеся к сообщениям, не имеющим отношение к обмену основными данными между организациями и системами;
- требования, относящиеся к архивным записям основных данных
ГОСТ Р ИСО 8000-110-2011ГОСТ Р ИСО 8000-110-2011ГОСТ Р ИСО 8000-110-2011ГОСТ Р ИСО 8000-110-2011ГОСТ Р ИСО 8000-110-2011ГОСТ Р ИСО 8000-110-2011ГОСТ Р ИСО 8000-110-2011ГОСТ Р ИСО 8000-110-2011ГОСТ Р ИСО 8000-110-2011ГОСТ Р ИСО 8000-110-2011ГОСТ Р ИСО 8000-110-2011ГОСТ Р ИСО 8000-110-2011ГОСТ Р ИСО 8000-110-2011ГОСТ Р ИСО 8000-110-2011ГОСТ Р ИСО 8000-110-2011ГОСТ Р ИСО 8000-110-2011ГОСТ Р ИСО 8000-110-2011ГОСТ Р ИСО 8000-110-2011ГОСТ Р ИСО 8000-110-2011ГОСТ Р ИСО 8000-110-2011ГОСТ Р ИСО 8000-110-2011ГОСТ Р ИСО 8000-110-2011ГОСТ Р ИСО 8000-110-2011ГОСТ Р ИСО 8000-110-2011
 




ГОСТЫ, СТРОИТЕЛЬНЫЕ и ТЕХНИЧЕСКИЕ НОРМАТИВЫ.
Некоммерческая онлайн система, содержащая все Российские Госты, национальные Стандарты и нормативы.
В Системе содержится более 150000 файлов нормативно-технической документации, действующей на территории РФ.
Система предназначена для широкого круга инженерно-технических специалистов.

Рейтинг@Mail.ru Яндекс цитирования

Copyright © www.gostrf.com, 2008 - 2026