Крупнейшая бесплатная информационно-справочная система онлайн доступа к полному собранию технических нормативно-правовых актов РФ. Огромная база технических нормативов (более 150 тысяч документов) и полное собрание национальных стандартов, аутентичное официальной базе Госстандарта. GOSTRF.com - это более 1 Терабайта бесплатной технической информации для всех пользователей интернета. Все электронные копии представленных здесь документов могут распространяться без каких-либо ограничений. Поощряется распространение информации с этого сайта на любых других ресурсах. Каждый человек имеет право на неограниченный доступ к этим документам! Каждый человек имеет право на знание требований, изложенных в данных нормативно-правовых актах!

  


 

ГОСТ Р 54344-2011

Техника пожарная. Мобильные робототехнические комплексы для проведения аварийно-спасательных работ и пожаротушения. Классификация. Общие технические требования. Методы испытаний

Обозначение:ГОСТ Р 54344-2011
Текущий статус документа: действующий
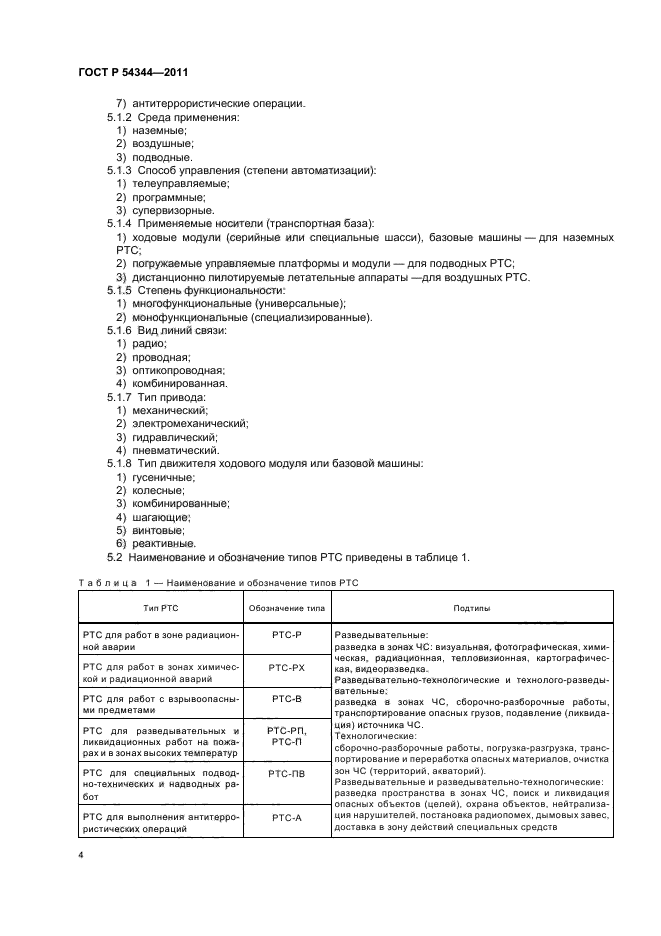
Название документа рус.:Техника пожарная. Мобильные робототехнические комплексы для проведения аварийно-спасательных работ и пожаротушения. Классификация. Общие технические требования. Методы испытаний
Название документа англ.:Fire equipment. Mobile manipulation vehicle systems for eliminating of emergencies and fire extinguishing. Classification. General technical requirements. Test methods
Дата актуализации текста:01.12.2013
Дата издания:06.06.2012
Дата введения:01.07.2012
Дата последнего изменения:23.05.2013
Область применения:Настоящий стандарт распространяется на вновь разрабатываемые и выпускаемые мобильные робототехнические комплексы для проведения аварийно-спасательных работ и пожаротушения, предназначенные для использования в зонах, опасных для жизни спасателей и пожарных. Настоящий стандарт устанавливает классификацию, общие технические требования и методы испытаний робототехнических комплексов.
Стандарт может применяться при разработке новых и модернизации существующих робототехнических комплексов, отборе комплексов из смежных отраслей экономики, закупках зарубежных робототехнических комплексов и сертификационных испытаниях комплексов
ГОСТ Р 54344-2011ГОСТ Р 54344-2011ГОСТ Р 54344-2011ГОСТ Р 54344-2011ГОСТ Р 54344-2011ГОСТ Р 54344-2011ГОСТ Р 54344-2011ГОСТ Р 54344-2011ГОСТ Р 54344-2011ГОСТ Р 54344-2011ГОСТ Р 54344-2011ГОСТ Р 54344-2011ГОСТ Р 54344-2011ГОСТ Р 54344-2011ГОСТ Р 54344-2011ГОСТ Р 54344-2011ГОСТ Р 54344-2011ГОСТ Р 54344-2011ГОСТ Р 54344-2011ГОСТ Р 54344-2011ГОСТ Р 54344-2011ГОСТ Р 54344-2011ГОСТ Р 54344-2011ГОСТ Р 54344-2011ГОСТ Р 54344-2011ГОСТ Р 54344-2011ГОСТ Р 54344-2011ГОСТ Р 54344-2011ГОСТ Р 54344-2011ГОСТ Р 54344-2011ГОСТ Р 54344-2011ГОСТ Р 54344-2011
 




ГОСТЫ, СТРОИТЕЛЬНЫЕ и ТЕХНИЧЕСКИЕ НОРМАТИВЫ.
Некоммерческая онлайн система, содержащая все Российские Госты, национальные Стандарты и нормативы.
В Системе содержится более 150000 файлов нормативно-технической документации, действующей на территории РФ.
Система предназначена для широкого круга инженерно-технических специалистов.

Рейтинг@Mail.ru Яндекс цитирования

Copyright © www.gostrf.com, 2008 - 2026