Крупнейшая бесплатная информационно-справочная система онлайн доступа к полному собранию технических нормативно-правовых актов РФ. Огромная база технических нормативов (более 150 тысяч документов) и полное собрание национальных стандартов, аутентичное официальной базе Госстандарта. GOSTRF.com - это более 1 Терабайта бесплатной технической информации для всех пользователей интернета. Все электронные копии представленных здесь документов могут распространяться без каких-либо ограничений. Поощряется распространение информации с этого сайта на любых других ресурсах. Каждый человек имеет право на неограниченный доступ к этим документам! Каждый человек имеет право на знание требований, изложенных в данных нормативно-правовых актах!

  


 

ГОСТ Р ИСО 13601-2011

Системы технические энергетические. Структура анализа. Отрасли энергоснабжения и энергопотребления

Обозначение:ГОСТ Р ИСО 13601-2011
Текущий статус документа: действующий
Название документа рус.:Системы технические энергетические. Структура анализа. Отрасли энергоснабжения и энергопотребления
Название документа англ.:Technical energy systems. Structure for analysis. Energyware supply and demand sectors
Дата актуализации текста:01.12.2013
Дата издания:06.06.2012
Дата введения:01.07.2012
Дата последнего изменения:23.05.2013
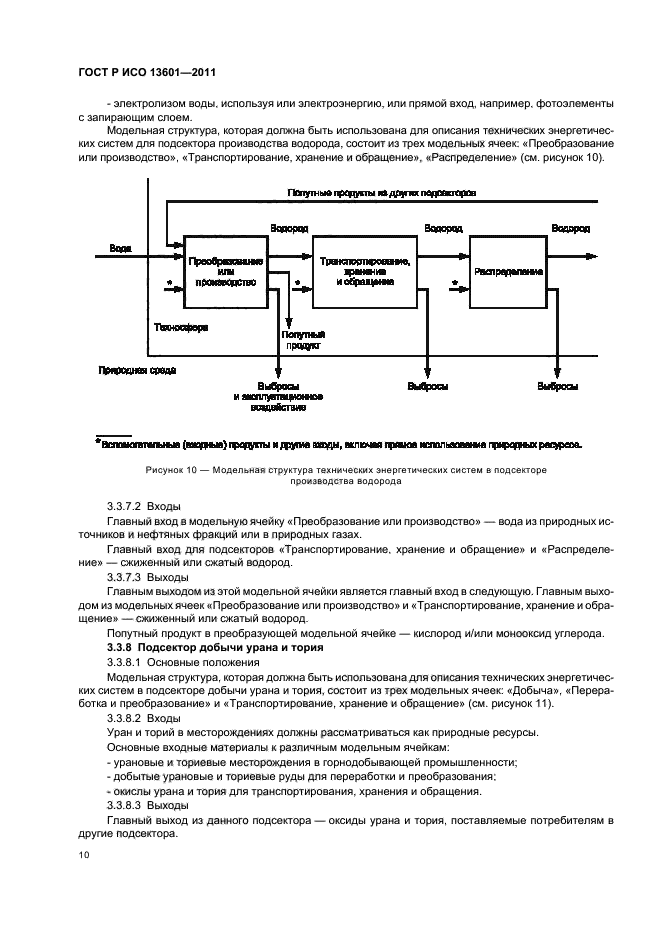
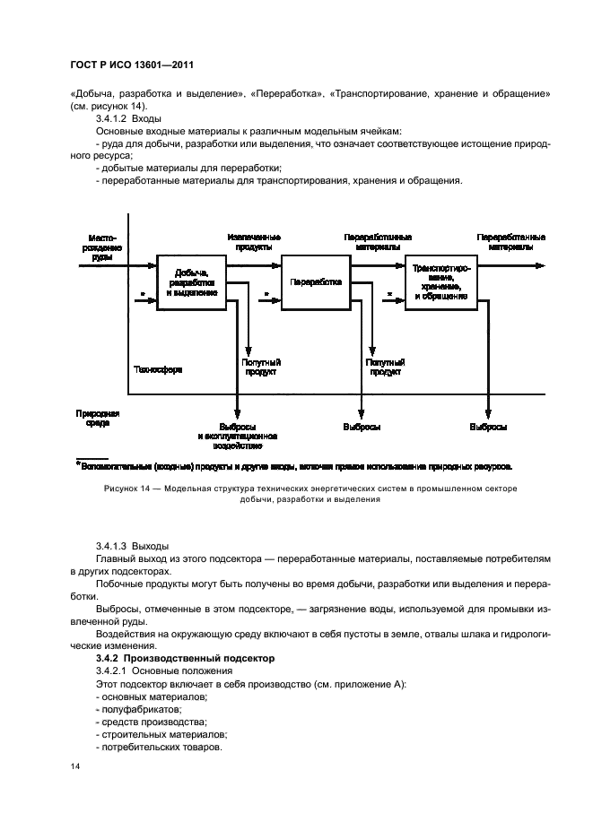
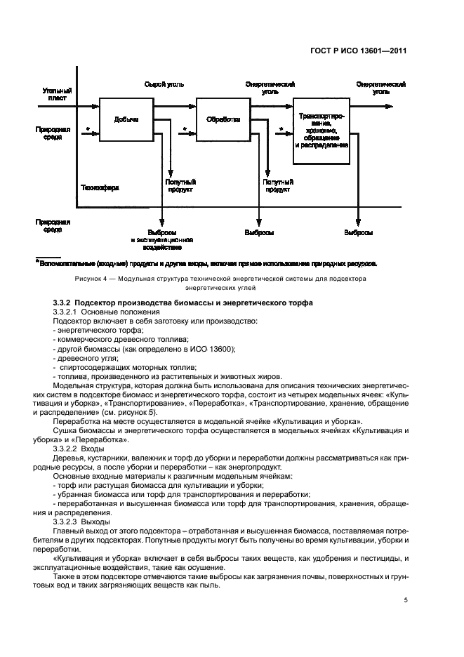
Область применения:Настоящий стандарт определяет структуру, которая будет использоваться для описания и анализа технических энергетических систем, подсекторов поставки и потребления энергопродукта, а также модель структуры для каждого подсектора. Настоящий стандарт приводит набор стандартизованных модулей, в соответствии с которыми все данные должны быть систематизированы и представлены.
Структура для описания и анализа технических энергетических систем служит для тех же целей в изучении технических энергетических систем, что и расчетный кодовый план в бухгалтерском учете. Она аналогична структуре официальной международной статистики (ISIC), используемой для облегчения применения данных.
Использование настоящей структуры облегчает сравнение результатов исследования технических энергетических систем и позволяет использовать частные результаты одного исследования в другом
ГОСТ Р ИСО 13601-2011ГОСТ Р ИСО 13601-2011ГОСТ Р ИСО 13601-2011ГОСТ Р ИСО 13601-2011ГОСТ Р ИСО 13601-2011ГОСТ Р ИСО 13601-2011ГОСТ Р ИСО 13601-2011ГОСТ Р ИСО 13601-2011ГОСТ Р ИСО 13601-2011ГОСТ Р ИСО 13601-2011ГОСТ Р ИСО 13601-2011ГОСТ Р ИСО 13601-2011ГОСТ Р ИСО 13601-2011ГОСТ Р ИСО 13601-2011ГОСТ Р ИСО 13601-2011ГОСТ Р ИСО 13601-2011ГОСТ Р ИСО 13601-2011ГОСТ Р ИСО 13601-2011ГОСТ Р ИСО 13601-2011ГОСТ Р ИСО 13601-2011ГОСТ Р ИСО 13601-2011ГОСТ Р ИСО 13601-2011ГОСТ Р ИСО 13601-2011ГОСТ Р ИСО 13601-2011ГОСТ Р ИСО 13601-2011ГОСТ Р ИСО 13601-2011ГОСТ Р ИСО 13601-2011ГОСТ Р ИСО 13601-2011ГОСТ Р ИСО 13601-2011ГОСТ Р ИСО 13601-2011ГОСТ Р ИСО 13601-2011ГОСТ Р ИСО 13601-2011ГОСТ Р ИСО 13601-2011ГОСТ Р ИСО 13601-2011ГОСТ Р ИСО 13601-2011ГОСТ Р ИСО 13601-2011
 




ГОСТЫ, СТРОИТЕЛЬНЫЕ и ТЕХНИЧЕСКИЕ НОРМАТИВЫ.
Некоммерческая онлайн система, содержащая все Российские Госты, национальные Стандарты и нормативы.
В Системе содержится более 150000 файлов нормативно-технической документации, действующей на территории РФ.
Система предназначена для широкого круга инженерно-технических специалистов.

Рейтинг@Mail.ru Яндекс цитирования

Copyright © www.gostrf.com, 2008 - 2026