Крупнейшая бесплатная информационно-справочная система онлайн доступа к полному собранию технических нормативно-правовых актов РФ. Огромная база технических нормативов (более 150 тысяч документов) и полное собрание национальных стандартов, аутентичное официальной базе Госстандарта. GOSTRF.com - это более 1 Терабайта бесплатной технической информации для всех пользователей интернета. Все электронные копии представленных здесь документов могут распространяться без каких-либо ограничений. Поощряется распространение информации с этого сайта на любых других ресурсах. Каждый человек имеет право на неограниченный доступ к этим документам! Каждый человек имеет право на знание требований, изложенных в данных нормативно-правовых актах!

  


 

ГОСТ Р ИСО 13374-2-2011

Контроль состояния и диагностика машин. Обработка, передача и представление данных. Часть 2. Обработка данных

Обозначение:ГОСТ Р ИСО 13374-2-2011
Текущий статус документа: действующий
Название документа рус.:Контроль состояния и диагностика машин. Обработка, передача и представление данных. Часть 2. Обработка данных
Название документа англ.:Condition monitoring and diagnostics of machines. Data processing, communication and presentation. Part 2. Data processing
Дата актуализации текста:01.12.2013
Дата издания:10.09.2012
Дата введения:01.12.2012
Дата последнего изменения:22.05.2013
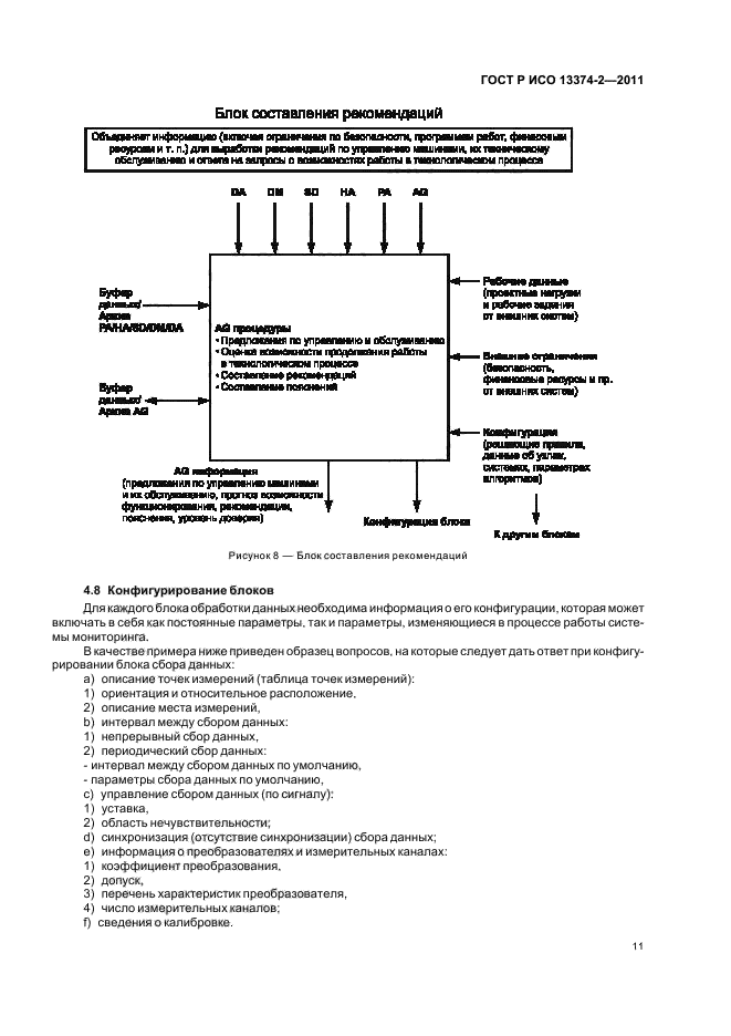
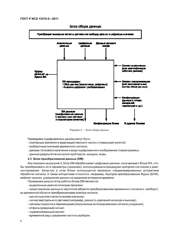
Область применения:Настоящий стандарт устанавливает требования к информационной модели и к модели обработки информации, которым должна соответствовать открытая архитектура систем контроля состояния и диагностирования машин в целях обеспечения их совместимости
ГОСТ Р ИСО 13374-2-2011ГОСТ Р ИСО 13374-2-2011ГОСТ Р ИСО 13374-2-2011ГОСТ Р ИСО 13374-2-2011ГОСТ Р ИСО 13374-2-2011ГОСТ Р ИСО 13374-2-2011ГОСТ Р ИСО 13374-2-2011ГОСТ Р ИСО 13374-2-2011ГОСТ Р ИСО 13374-2-2011ГОСТ Р ИСО 13374-2-2011ГОСТ Р ИСО 13374-2-2011ГОСТ Р ИСО 13374-2-2011ГОСТ Р ИСО 13374-2-2011ГОСТ Р ИСО 13374-2-2011ГОСТ Р ИСО 13374-2-2011ГОСТ Р ИСО 13374-2-2011ГОСТ Р ИСО 13374-2-2011ГОСТ Р ИСО 13374-2-2011ГОСТ Р ИСО 13374-2-2011ГОСТ Р ИСО 13374-2-2011ГОСТ Р ИСО 13374-2-2011ГОСТ Р ИСО 13374-2-2011ГОСТ Р ИСО 13374-2-2011ГОСТ Р ИСО 13374-2-2011ГОСТ Р ИСО 13374-2-2011ГОСТ Р ИСО 13374-2-2011ГОСТ Р ИСО 13374-2-2011ГОСТ Р ИСО 13374-2-2011ГОСТ Р ИСО 13374-2-2011ГОСТ Р ИСО 13374-2-2011ГОСТ Р ИСО 13374-2-2011ГОСТ Р ИСО 13374-2-2011
 




ГОСТЫ, СТРОИТЕЛЬНЫЕ и ТЕХНИЧЕСКИЕ НОРМАТИВЫ.
Некоммерческая онлайн система, содержащая все Российские Госты, национальные Стандарты и нормативы.
В Системе содержится более 150000 файлов нормативно-технической документации, действующей на территории РФ.
Система предназначена для широкого круга инженерно-технических специалистов.

Рейтинг@Mail.ru Яндекс цитирования

Copyright © www.gostrf.com, 2008 - 2026