Крупнейшая бесплатная информационно-справочная система онлайн доступа к полному собранию технических нормативно-правовых актов РФ. Огромная база технических нормативов (более 150 тысяч документов) и полное собрание национальных стандартов, аутентичное официальной базе Госстандарта. GOSTRF.com - это более 1 Терабайта бесплатной технической информации для всех пользователей интернета. Все электронные копии представленных здесь документов могут распространяться без каких-либо ограничений. Поощряется распространение информации с этого сайта на любых других ресурсах. Каждый человек имеет право на неограниченный доступ к этим документам! Каждый человек имеет право на знание требований, изложенных в данных нормативно-правовых актах!

  


 

ГОСТ Р 54502-2011

Микробиология пищевых продуктов и кормов для животных. Руководство по оценке неопределенности измерений при количественных определениях

Обозначение:ГОСТ Р 54502-2011
Текущий статус документа: действующий
Название документа рус.:Микробиология пищевых продуктов и кормов для животных. Руководство по оценке неопределенности измерений при количественных определениях
Название документа англ.:Microbiology of food and animal feeding stuffs. Guidelines for the estimation of measurement uncertainty for quantitative determinations
Дата актуализации текста:01.12.2013
Дата издания:17.10.2012
Дата введения:01.01.2013
Дата последнего изменения:22.05.2013
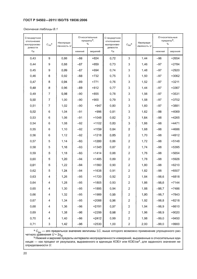
Область применения:Настоящий стандарт представляет собой руководство по оценке и выражению неопределенности, связанной с количественными определениями, осуществляемыми в пищевой микробиологии.
Стандарт применим при количественных анализах:
- продуктов, предназначенных для потребления человеком, и кормов для животных и
- проб, взятых с целью контроля состояния окружающей среды при производстве продуктов, которые обычно проводятся путем определения количества микроорганизмов с использованием техники подсчета числа культивированных колоний, однако он пригоден также и при количественных анализах, осуществляемых альтернативными инструментальными методами.
Стандарт не применим в случае использования так называемой “техники определения наиболее вероятного числа“.
В настоящем стандарте неопределенность измерений оценивается с использованием упрощенного подхода, в котором принимается в учет Пуассоновское распределение, и поэтому он применим по отношению к любому результату микробиологического анализа, включая случаи “низкого“результата подсчета числа колониеобразующих единиц и/или “низкого“числа микроорганизмов
ГОСТ Р 54502-2011ГОСТ Р 54502-2011ГОСТ Р 54502-2011ГОСТ Р 54502-2011ГОСТ Р 54502-2011ГОСТ Р 54502-2011ГОСТ Р 54502-2011ГОСТ Р 54502-2011ГОСТ Р 54502-2011ГОСТ Р 54502-2011ГОСТ Р 54502-2011ГОСТ Р 54502-2011ГОСТ Р 54502-2011ГОСТ Р 54502-2011ГОСТ Р 54502-2011ГОСТ Р 54502-2011ГОСТ Р 54502-2011ГОСТ Р 54502-2011ГОСТ Р 54502-2011ГОСТ Р 54502-2011ГОСТ Р 54502-2011ГОСТ Р 54502-2011ГОСТ Р 54502-2011ГОСТ Р 54502-2011ГОСТ Р 54502-2011ГОСТ Р 54502-2011ГОСТ Р 54502-2011ГОСТ Р 54502-2011
 




ГОСТЫ, СТРОИТЕЛЬНЫЕ и ТЕХНИЧЕСКИЕ НОРМАТИВЫ.
Некоммерческая онлайн система, содержащая все Российские Госты, национальные Стандарты и нормативы.
В Системе содержится более 150000 файлов нормативно-технической документации, действующей на территории РФ.
Система предназначена для широкого круга инженерно-технических специалистов.

Рейтинг@Mail.ru Яндекс цитирования

Copyright © www.gostrf.com, 2008 - 2026