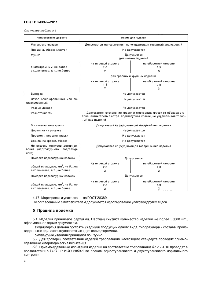
Крупнейшая бесплатная информационно-справочная система онлайн доступа к полному собранию технических нормативно-правовых актов РФ. Огромная база технических нормативов (более 150 тысяч документов) и полное собрание национальных стандартов, аутентичное официальной базе Госстандарта. GOSTRF.com - это более 1 Терабайта бесплатной технической информации для всех пользователей интернета. Все электронные копии представленных здесь документов могут распространяться без каких-либо ограничений. Поощряется распространение информации с этого сайта на любых других ресурсах. Каждый человек имеет право на неограниченный доступ к этим документам! Каждый человек имеет право на знание требований, изложенных в данных нормативно-правовых актах!

  


 

ГОСТ Р 54397-2011

Посуда керамическая для тепловой обработки пищевых продуктов. Технические условия

Обозначение:ГОСТ Р 54397-2011
Текущий статус документа: действующий
Название документа рус.:Посуда керамическая для тепловой обработки пищевых продуктов. Технические условия
Название документа англ.:Ceramic сooking ware for thermal processing off foodstaff. Specifications
Дата актуализации текста:01.12.2013
Дата издания:23.08.2012
Дата введения:01.01.2013
Дата последнего изменения:22.05.2013
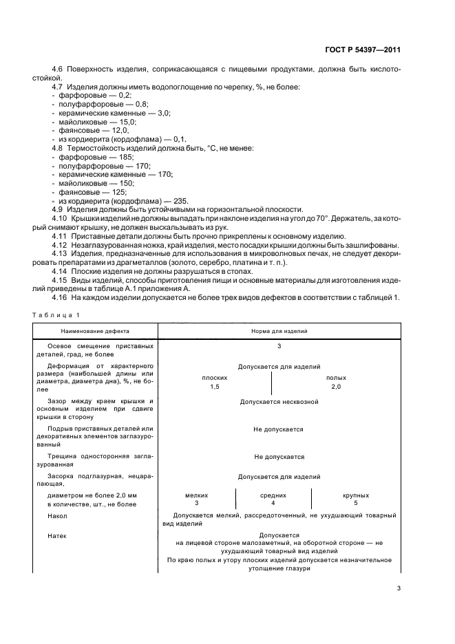
Область применения:Настоящий стандарт распространяется на керамическую посуду (фарфоровую, фаянсовую, полуфарфоровую, керамическую каменную, майоликовую), посуду из кордиерита (кордофлама) для тепловой обработки пищевых продуктов, предназначенную для нагрева в процессе приготовления пищи или напитков обычными тепловыми способами или в микроволновых печах
ГОСТ Р 54397-2011ГОСТ Р 54397-2011ГОСТ Р 54397-2011ГОСТ Р 54397-2011ГОСТ Р 54397-2011ГОСТ Р 54397-2011ГОСТ Р 54397-2011ГОСТ Р 54397-2011ГОСТ Р 54397-2011ГОСТ Р 54397-2011ГОСТ Р 54397-2011ГОСТ Р 54397-2011
 




ГОСТЫ, СТРОИТЕЛЬНЫЕ и ТЕХНИЧЕСКИЕ НОРМАТИВЫ.
Некоммерческая онлайн система, содержащая все Российские Госты, национальные Стандарты и нормативы.
В Системе содержится более 150000 файлов нормативно-технической документации, действующей на территории РФ.
Система предназначена для широкого круга инженерно-технических специалистов.

Рейтинг@Mail.ru Яндекс цитирования

Copyright © www.gostrf.com, 2008 - 2026