Крупнейшая бесплатная информационно-справочная система онлайн доступа к полному собранию технических нормативно-правовых актов РФ. Огромная база технических нормативов (более 150 тысяч документов) и полное собрание национальных стандартов, аутентичное официальной базе Госстандарта. GOSTRF.com - это более 1 Терабайта бесплатной технической информации для всех пользователей интернета. Все электронные копии представленных здесь документов могут распространяться без каких-либо ограничений. Поощряется распространение информации с этого сайта на любых других ресурсах. Каждый человек имеет право на неограниченный доступ к этим документам! Каждый человек имеет право на знание требований, изложенных в данных нормативно-правовых актах!

  


 

ГОСТ Р ИСО 20282-1-2011

Эргономика изделий повседневного использования. Часть 1. Требования к конструкции элементов управления с учетом условий использования и характеристик пользователя

Обозначение:ГОСТ Р ИСО 20282-1-2011
Текущий статус документа: действующий
Название документа рус.:Эргономика изделий повседневного использования. Часть 1. Требования к конструкции элементов управления с учетом условий использования и характеристик пользователя
Название документа англ.:Ergonomics of everyday products. Part 1. Design requirements for controls with respect to context of use and user characteristics
Дата актуализации текста:01.12.2013
Дата издания:29.08.2012
Дата введения:01.12.2012
Дата последнего изменения:22.05.2013
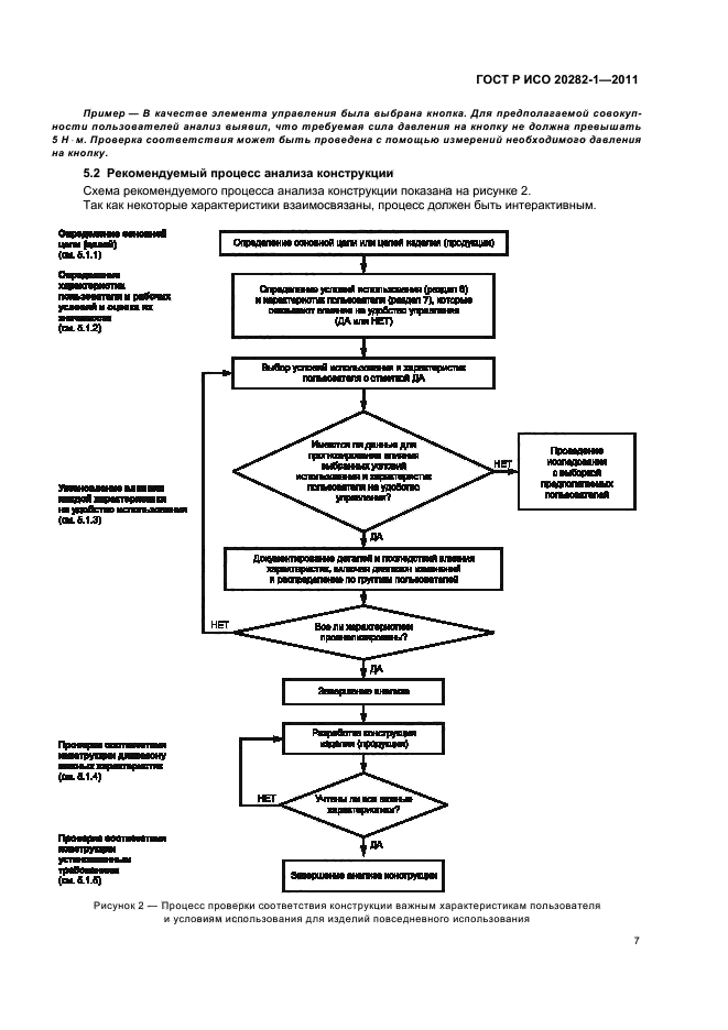
Область применения:Настоящий стандарт устанавливает требования к разработке удобных в управлении изделий повседневного использования с учетом характеристик пользователей и условий использования в тех случаях, когда удобство управления пользовательским интерфейсом характеризуют таким показателем как пригодность использования. В стандарте приведены также рекомендации по выполнению этих требований.
Настоящий стандарт предназначен для применения при разработке изделий повседневного использования, для которых в стандарте:
- определено понятие удобства управления;
- установлены важные аспекты условий использования;
- установлены характеристики предполагаемой совокупности пользователей, влияющие на пригодность использования.
Предполагаемыми пользователями настоящего стандарта являются специалисты по пригодности использования, эргономисты, разработчики изделий, интерфейсов, изготовители продукции и другие специалисты, участвующие в разработке и проектировании изделий повседневного использования
ГОСТ Р ИСО 20282-1-2011ГОСТ Р ИСО 20282-1-2011ГОСТ Р ИСО 20282-1-2011ГОСТ Р ИСО 20282-1-2011ГОСТ Р ИСО 20282-1-2011ГОСТ Р ИСО 20282-1-2011ГОСТ Р ИСО 20282-1-2011ГОСТ Р ИСО 20282-1-2011ГОСТ Р ИСО 20282-1-2011ГОСТ Р ИСО 20282-1-2011ГОСТ Р ИСО 20282-1-2011ГОСТ Р ИСО 20282-1-2011ГОСТ Р ИСО 20282-1-2011ГОСТ Р ИСО 20282-1-2011ГОСТ Р ИСО 20282-1-2011ГОСТ Р ИСО 20282-1-2011ГОСТ Р ИСО 20282-1-2011ГОСТ Р ИСО 20282-1-2011ГОСТ Р ИСО 20282-1-2011ГОСТ Р ИСО 20282-1-2011ГОСТ Р ИСО 20282-1-2011ГОСТ Р ИСО 20282-1-2011ГОСТ Р ИСО 20282-1-2011ГОСТ Р ИСО 20282-1-2011ГОСТ Р ИСО 20282-1-2011ГОСТ Р ИСО 20282-1-2011ГОСТ Р ИСО 20282-1-2011ГОСТ Р ИСО 20282-1-2011
 




ГОСТЫ, СТРОИТЕЛЬНЫЕ и ТЕХНИЧЕСКИЕ НОРМАТИВЫ.
Некоммерческая онлайн система, содержащая все Российские Госты, национальные Стандарты и нормативы.
В Системе содержится более 150000 файлов нормативно-технической документации, действующей на территории РФ.
Система предназначена для широкого круга инженерно-технических специалистов.

Рейтинг@Mail.ru Яндекс цитирования

Copyright © www.gostrf.com, 2008 - 2026