Крупнейшая бесплатная информационно-справочная система онлайн доступа к полному собранию технических нормативно-правовых актов РФ. Огромная база технических нормативов (более 150 тысяч документов) и полное собрание национальных стандартов, аутентичное официальной базе Госстандарта. GOSTRF.com - это более 1 Терабайта бесплатной технической информации для всех пользователей интернета. Все электронные копии представленных здесь документов могут распространяться без каких-либо ограничений. Поощряется распространение информации с этого сайта на любых других ресурсах. Каждый человек имеет право на неограниченный доступ к этим документам! Каждый человек имеет право на знание требований, изложенных в данных нормативно-правовых актах!

  


 

ГОСТ Р ИСО/МЭК 19778-1-2011

Информационная технология. Обучение, образование и подготовка. Технология сотрудничества. Общее рабочее пространство. Часть 1. Модель данных общего рабочего пространства

Обозначение:ГОСТ Р ИСО/МЭК 19778-1-2011
Текущий статус документа: действующий
Название документа рус.:Информационная технология. Обучение, образование и подготовка. Технология сотрудничества. Общее рабочее пространство. Часть 1. Модель данных общего рабочего пространства
Название документа англ.:Information technology. Learning, education and training. Collaborative technology. Collaborative workplace. Part 1. Collaborative workplace data model
Дата актуализации текста:01.12.2013
Дата издания:22.06.2012
Дата введения:01.07.2012
Дата последнего изменения:22.05.2013
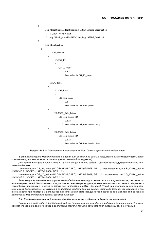
Область применения:Стандарты серии ИСО/МЭК 19778 предназначены для применения в целях стандартизации технологий сотрудничества, используемых для поддержания информационного обмена между учащимися, инструкторами и другими участниками образовательного процесса, и конкретно информационно-коммуникационных технологий. Внедрение и использование данных технологий влечет за собой появление информации, связанной с группами участников и средами взаимодействия, функциями и средствами, устанавливаемыми для этих групп и ими же используемыми. Настоящий стандарт совместно с последующими частями определяет модели данных, которые позволяют обеспечить переносимость и повторное использование информации в интегрированной форме и допускает возможности замены, хранения, восстановления, повторного использования или анализа реализаций модели данных для множества систем
ГОСТ Р ИСО/МЭК 19778-1-2011ГОСТ Р ИСО/МЭК 19778-1-2011ГОСТ Р ИСО/МЭК 19778-1-2011ГОСТ Р ИСО/МЭК 19778-1-2011ГОСТ Р ИСО/МЭК 19778-1-2011ГОСТ Р ИСО/МЭК 19778-1-2011ГОСТ Р ИСО/МЭК 19778-1-2011ГОСТ Р ИСО/МЭК 19778-1-2011ГОСТ Р ИСО/МЭК 19778-1-2011ГОСТ Р ИСО/МЭК 19778-1-2011ГОСТ Р ИСО/МЭК 19778-1-2011ГОСТ Р ИСО/МЭК 19778-1-2011ГОСТ Р ИСО/МЭК 19778-1-2011ГОСТ Р ИСО/МЭК 19778-1-2011ГОСТ Р ИСО/МЭК 19778-1-2011ГОСТ Р ИСО/МЭК 19778-1-2011ГОСТ Р ИСО/МЭК 19778-1-2011ГОСТ Р ИСО/МЭК 19778-1-2011ГОСТ Р ИСО/МЭК 19778-1-2011ГОСТ Р ИСО/МЭК 19778-1-2011ГОСТ Р ИСО/МЭК 19778-1-2011ГОСТ Р ИСО/МЭК 19778-1-2011ГОСТ Р ИСО/МЭК 19778-1-2011ГОСТ Р ИСО/МЭК 19778-1-2011ГОСТ Р ИСО/МЭК 19778-1-2011ГОСТ Р ИСО/МЭК 19778-1-2011ГОСТ Р ИСО/МЭК 19778-1-2011ГОСТ Р ИСО/МЭК 19778-1-2011ГОСТ Р ИСО/МЭК 19778-1-2011ГОСТ Р ИСО/МЭК 19778-1-2011ГОСТ Р ИСО/МЭК 19778-1-2011ГОСТ Р ИСО/МЭК 19778-1-2011ГОСТ Р ИСО/МЭК 19778-1-2011ГОСТ Р ИСО/МЭК 19778-1-2011ГОСТ Р ИСО/МЭК 19778-1-2011ГОСТ Р ИСО/МЭК 19778-1-2011
 




ГОСТЫ, СТРОИТЕЛЬНЫЕ и ТЕХНИЧЕСКИЕ НОРМАТИВЫ.
Некоммерческая онлайн система, содержащая все Российские Госты, национальные Стандарты и нормативы.
В Системе содержится более 150000 файлов нормативно-технической документации, действующей на территории РФ.
Система предназначена для широкого круга инженерно-технических специалистов.

Рейтинг@Mail.ru Яндекс цитирования

Copyright © www.gostrf.com, 2008 - 2026