Крупнейшая бесплатная информационно-справочная система онлайн доступа к полному собранию технических нормативно-правовых актов РФ. Огромная база технических нормативов (более 150 тысяч документов) и полное собрание национальных стандартов, аутентичное официальной базе Госстандарта. GOSTRF.com - это более 1 Терабайта бесплатной технической информации для всех пользователей интернета. Все электронные копии представленных здесь документов могут распространяться без каких-либо ограничений. Поощряется распространение информации с этого сайта на любых других ресурсах. Каждый человек имеет право на неограниченный доступ к этим документам! Каждый человек имеет право на знание требований, изложенных в данных нормативно-правовых актах!

  


 

ГОСТ Р 54298-2010

Системы экологического менеджмента. Порядок сертификации систем экологического менеджмента на соответствие ГОСТ Р ИСО 14001-2007

Обозначение:ГОСТ Р 54298-2010
Текущий статус документа: действующий
Название документа рус.:Системы экологического менеджмента. Порядок сертификации систем экологического менеджмента на соответствие ГОСТ Р ИСО 14001-2007
Название документа англ.:Environmental management systems. Certification procedure of environmental management systems to accordance with GOST R ISO 14001-2007
Дата актуализации текста:01.12.2013
Дата издания:29.05.2012
Дата введения:31.08.2011
Дата последнего изменения:22.05.2013
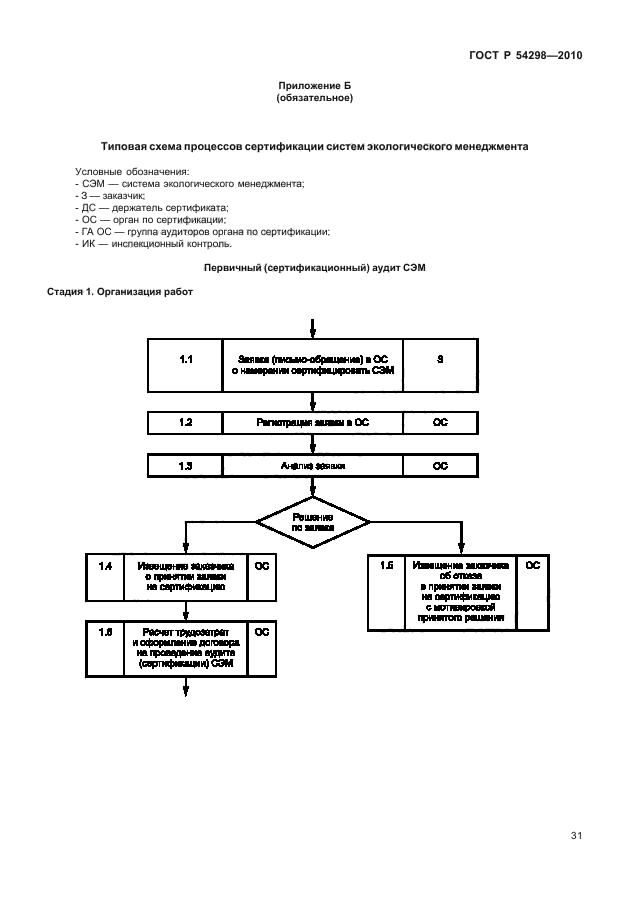
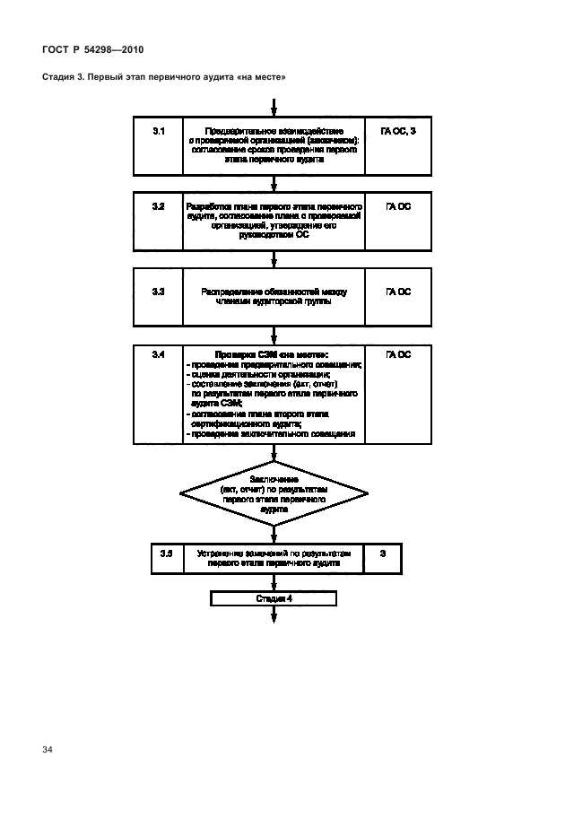
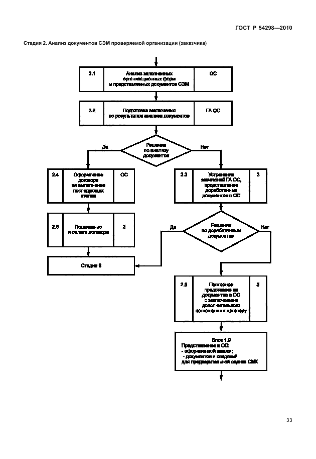
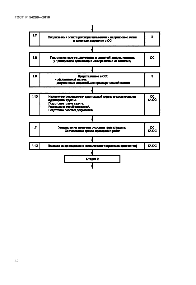
Область применения:Настоящий стандарт устанавливает порядок сертификации систем экологического менеджмента на соответствие требований ГОСТ Р ИСО14001-2007 (ИСО 14001:2004) в системе добровольной сертификации.
Стандарт предназначен для применения:
- органами по сертификации систем экологического менеджмента;
- органами по сертификации интегрированных систем менеджмента, если в своем составе они содержат системы экологического менеджмента;
- организациями, претендующими на получение сертификата соответствия системы экологического менеджмента;
- организациями, претендующими на получение сертификата соответствия интегрированных систем менеджмента, если в своем составе они содержат системы экологического менеджмента;
- организациями, держателями сертификатов на системы экологического менеджмента и интегрированных систем менеджмента, если в своем составе они содержат системы экологического менеджмента
ГОСТ Р 54298-2010ГОСТ Р 54298-2010ГОСТ Р 54298-2010ГОСТ Р 54298-2010ГОСТ Р 54298-2010ГОСТ Р 54298-2010ГОСТ Р 54298-2010ГОСТ Р 54298-2010ГОСТ Р 54298-2010ГОСТ Р 54298-2010ГОСТ Р 54298-2010ГОСТ Р 54298-2010ГОСТ Р 54298-2010ГОСТ Р 54298-2010ГОСТ Р 54298-2010ГОСТ Р 54298-2010ГОСТ Р 54298-2010ГОСТ Р 54298-2010ГОСТ Р 54298-2010ГОСТ Р 54298-2010ГОСТ Р 54298-2010ГОСТ Р 54298-2010ГОСТ Р 54298-2010ГОСТ Р 54298-2010ГОСТ Р 54298-2010ГОСТ Р 54298-2010ГОСТ Р 54298-2010ГОСТ Р 54298-2010ГОСТ Р 54298-2010ГОСТ Р 54298-2010ГОСТ Р 54298-2010ГОСТ Р 54298-2010ГОСТ Р 54298-2010ГОСТ Р 54298-2010ГОСТ Р 54298-2010ГОСТ Р 54298-2010ГОСТ Р 54298-2010ГОСТ Р 54298-2010ГОСТ Р 54298-2010ГОСТ Р 54298-2010ГОСТ Р 54298-2010ГОСТ Р 54298-2010ГОСТ Р 54298-2010ГОСТ Р 54298-2010ГОСТ Р 54298-2010ГОСТ Р 54298-2010ГОСТ Р 54298-2010ГОСТ Р 54298-2010ГОСТ Р 54298-2010ГОСТ Р 54298-2010ГОСТ Р 54298-2010ГОСТ Р 54298-2010ГОСТ Р 54298-2010ГОСТ Р 54298-2010ГОСТ Р 54298-2010ГОСТ Р 54298-2010ГОСТ Р 54298-2010ГОСТ Р 54298-2010ГОСТ Р 54298-2010ГОСТ Р 54298-2010ГОСТ Р 54298-2010ГОСТ Р 54298-2010ГОСТ Р 54298-2010ГОСТ Р 54298-2010ГОСТ Р 54298-2010ГОСТ Р 54298-2010ГОСТ Р 54298-2010ГОСТ Р 54298-2010ГОСТ Р 54298-2010ГОСТ Р 54298-2010
 




ГОСТЫ, СТРОИТЕЛЬНЫЕ и ТЕХНИЧЕСКИЕ НОРМАТИВЫ.
Некоммерческая онлайн система, содержащая все Российские Госты, национальные Стандарты и нормативы.
В Системе содержится более 150000 файлов нормативно-технической документации, действующей на территории РФ.
Система предназначена для широкого круга инженерно-технических специалистов.

Рейтинг@Mail.ru Яндекс цитирования

Copyright © www.gostrf.com, 2008 - 2026