Крупнейшая бесплатная информационно-справочная система онлайн доступа к полному собранию технических нормативно-правовых актов РФ. Огромная база технических нормативов (более 150 тысяч документов) и полное собрание национальных стандартов, аутентичное официальной базе Госстандарта. GOSTRF.com - это более 1 Терабайта бесплатной технической информации для всех пользователей интернета. Все электронные копии представленных здесь документов могут распространяться без каких-либо ограничений. Поощряется распространение информации с этого сайта на любых других ресурсах. Каждый человек имеет право на неограниченный доступ к этим документам! Каждый человек имеет право на знание требований, изложенных в данных нормативно-правовых актах!

  


 

ГОСТ Р ИСО/МЭК 31010-2011

Менеджмент риска. Методы оценки риска

Обозначение:ГОСТ Р ИСО/МЭК 31010-2011
Текущий статус документа: действующий
Название документа рус.:Менеджмент риска. Методы оценки риска
Название документа англ.:Risk management. Risk assessment methods
Дата актуализации текста:01.12.2013
Дата издания:05.10.2012
Дата введения:01.12.2012
Дата последнего изменения:22.05.2013
Область применения:Настоящий стандарт разработан в дополнение к ИСО 31000 и содержит рекомендации по выбору и применению методов оценки риска.
Оценка риска, выполненная в соответствии с настоящим стандартом, применима при выполнении других элементов процесса менеджмента риска.
В настоящем стандарте представлены методы оценки риска и даны ссылки на другие международные стандарты, в которых более подробно описано применение конкретных методов оценки риска.
Данный стандарт не предназначен для целей оценки соответствия и использования в качестве обязательных или договорных требований.
Стандарт не содержит конкретных критериев для принятия решения по анализу риска и указаний по применению методов анализа риска в конкретной ситуации.
Настоящий стандарт допускает использование других методов оценки риска с учетом их применимости в конкретной ситуации
ГОСТ Р ИСО/МЭК 31010-2011ГОСТ Р ИСО/МЭК 31010-2011ГОСТ Р ИСО/МЭК 31010-2011ГОСТ Р ИСО/МЭК 31010-2011ГОСТ Р ИСО/МЭК 31010-2011ГОСТ Р ИСО/МЭК 31010-2011ГОСТ Р ИСО/МЭК 31010-2011ГОСТ Р ИСО/МЭК 31010-2011ГОСТ Р ИСО/МЭК 31010-2011ГОСТ Р ИСО/МЭК 31010-2011ГОСТ Р ИСО/МЭК 31010-2011ГОСТ Р ИСО/МЭК 31010-2011ГОСТ Р ИСО/МЭК 31010-2011ГОСТ Р ИСО/МЭК 31010-2011ГОСТ Р ИСО/МЭК 31010-2011ГОСТ Р ИСО/МЭК 31010-2011ГОСТ Р ИСО/МЭК 31010-2011ГОСТ Р ИСО/МЭК 31010-2011ГОСТ Р ИСО/МЭК 31010-2011ГОСТ Р ИСО/МЭК 31010-2011ГОСТ Р ИСО/МЭК 31010-2011ГОСТ Р ИСО/МЭК 31010-2011ГОСТ Р ИСО/МЭК 31010-2011ГОСТ Р ИСО/МЭК 31010-2011ГОСТ Р ИСО/МЭК 31010-2011ГОСТ Р ИСО/МЭК 31010-2011ГОСТ Р ИСО/МЭК 31010-2011ГОСТ Р ИСО/МЭК 31010-2011ГОСТ Р ИСО/МЭК 31010-2011ГОСТ Р ИСО/МЭК 31010-2011ГОСТ Р ИСО/МЭК 31010-2011ГОСТ Р ИСО/МЭК 31010-2011ГОСТ Р ИСО/МЭК 31010-2011ГОСТ Р ИСО/МЭК 31010-2011ГОСТ Р ИСО/МЭК 31010-2011ГОСТ Р ИСО/МЭК 31010-2011ГОСТ Р ИСО/МЭК 31010-2011ГОСТ Р ИСО/МЭК 31010-2011ГОСТ Р ИСО/МЭК 31010-2011ГОСТ Р ИСО/МЭК 31010-2011ГОСТ Р ИСО/МЭК 31010-2011ГОСТ Р ИСО/МЭК 31010-2011ГОСТ Р ИСО/МЭК 31010-2011ГОСТ Р ИСО/МЭК 31010-2011ГОСТ Р ИСО/МЭК 31010-2011ГОСТ Р ИСО/МЭК 31010-2011ГОСТ Р ИСО/МЭК 31010-2011ГОСТ Р ИСО/МЭК 31010-2011ГОСТ Р ИСО/МЭК 31010-2011ГОСТ Р ИСО/МЭК 31010-2011ГОСТ Р ИСО/МЭК 31010-2011ГОСТ Р ИСО/МЭК 31010-2011ГОСТ Р ИСО/МЭК 31010-2011ГОСТ Р ИСО/МЭК 31010-2011ГОСТ Р ИСО/МЭК 31010-2011ГОСТ Р ИСО/МЭК 31010-2011ГОСТ Р ИСО/МЭК 31010-2011ГОСТ Р ИСО/МЭК 31010-2011ГОСТ Р ИСО/МЭК 31010-2011ГОСТ Р ИСО/МЭК 31010-2011ГОСТ Р ИСО/МЭК 31010-2011ГОСТ Р ИСО/МЭК 31010-2011ГОСТ Р ИСО/МЭК 31010-2011ГОСТ Р ИСО/МЭК 31010-2011ГОСТ Р ИСО/МЭК 31010-2011ГОСТ Р ИСО/МЭК 31010-2011ГОСТ Р ИСО/МЭК 31010-2011ГОСТ Р ИСО/МЭК 31010-2011ГОСТ Р ИСО/МЭК 31010-2011ГОСТ Р ИСО/МЭК 31010-2011ГОСТ Р ИСО/МЭК 31010-2011ГОСТ Р ИСО/МЭК 31010-2011ГОСТ Р ИСО/МЭК 31010-2011ГОСТ Р ИСО/МЭК 31010-2011
 




ГОСТЫ, СТРОИТЕЛЬНЫЕ и ТЕХНИЧЕСКИЕ НОРМАТИВЫ.
Некоммерческая онлайн система, содержащая все Российские Госты, национальные Стандарты и нормативы.
В Системе содержится более 150000 файлов нормативно-технической документации, действующей на территории РФ.
Система предназначена для широкого круга инженерно-технических специалистов.

Рейтинг@Mail.ru Яндекс цитирования

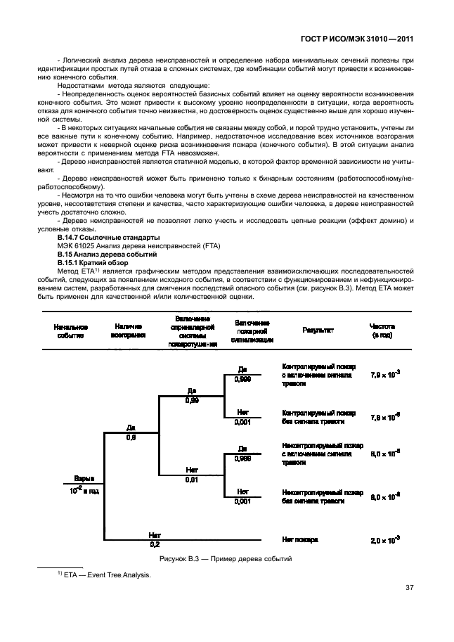
Copyright © www.gostrf.com, 2008 - 2026