Крупнейшая бесплатная информационно-справочная система онлайн доступа к полному собранию технических нормативно-правовых актов РФ. Огромная база технических нормативов (более 150 тысяч документов) и полное собрание национальных стандартов, аутентичное официальной базе Госстандарта. GOSTRF.com - это более 1 Терабайта бесплатной технической информации для всех пользователей интернета. Все электронные копии представленных здесь документов могут распространяться без каких-либо ограничений. Поощряется распространение информации с этого сайта на любых других ресурсах. Каждый человек имеет право на неограниченный доступ к этим документам! Каждый человек имеет право на знание требований, изложенных в данных нормативно-правовых актах!

  


 

ГОСТ Р ЕН 379-2011

Система стандартов безопасности труда. Средства индивидуальной защиты глаз и лица при сварке и аналогичных процессах. Автоматические сварочные светофильтры. Общие технические условия

Обозначение:ГОСТ Р ЕН 379-2011
Текущий статус документа: действующий
Название документа рус.:Система стандартов безопасности труда. Средства индивидуальной защиты глаз и лица при сварке и аналогичных процессах. Автоматические сварочные светофильтры. Общие технические условия
Название документа англ.:System of standards for occupational safety. Personal eye and face protection equipment during welding and related processes. Automatic welding filters. General specifications
Дата актуализации текста:01.12.2013
Дата издания:08.08.2012
Дата введения:01.12.2012
Дата последнего изменения:23.05.2013
Область применения:Настоящий стандарт распространяется на автоматические сварочные светофильтры, изменяющие спектральный коэффициент пропускания на более низкое регламентируемое значение, которое может быть установлено изменением градационного шифра вручную, а также автоматически (включая ручную настройку) при возникновении сварочной дуги.
Требования настоящего стандарта распространяются как на автоматические сварочные светофильтры, используемые при длительной работе в процессе сварки (включая газовую сварку и резку), так и на автоматические сварочные светофильтры, используемые только во время возникновения электрической дуги.
Автоматические светофильтры используют в различных средствах защиты глаз для сварщиков, а также их устанавливают на оборудовании для сварки
ГОСТ Р ЕН 379-2011ГОСТ Р ЕН 379-2011ГОСТ Р ЕН 379-2011ГОСТ Р ЕН 379-2011ГОСТ Р ЕН 379-2011ГОСТ Р ЕН 379-2011ГОСТ Р ЕН 379-2011ГОСТ Р ЕН 379-2011ГОСТ Р ЕН 379-2011ГОСТ Р ЕН 379-2011ГОСТ Р ЕН 379-2011ГОСТ Р ЕН 379-2011ГОСТ Р ЕН 379-2011ГОСТ Р ЕН 379-2011ГОСТ Р ЕН 379-2011ГОСТ Р ЕН 379-2011ГОСТ Р ЕН 379-2011ГОСТ Р ЕН 379-2011ГОСТ Р ЕН 379-2011ГОСТ Р ЕН 379-2011
 




ГОСТЫ, СТРОИТЕЛЬНЫЕ и ТЕХНИЧЕСКИЕ НОРМАТИВЫ.
Некоммерческая онлайн система, содержащая все Российские Госты, национальные Стандарты и нормативы.
В Системе содержится более 150000 файлов нормативно-технической документации, действующей на территории РФ.
Система предназначена для широкого круга инженерно-технических специалистов.

Рейтинг@Mail.ru Яндекс цитирования

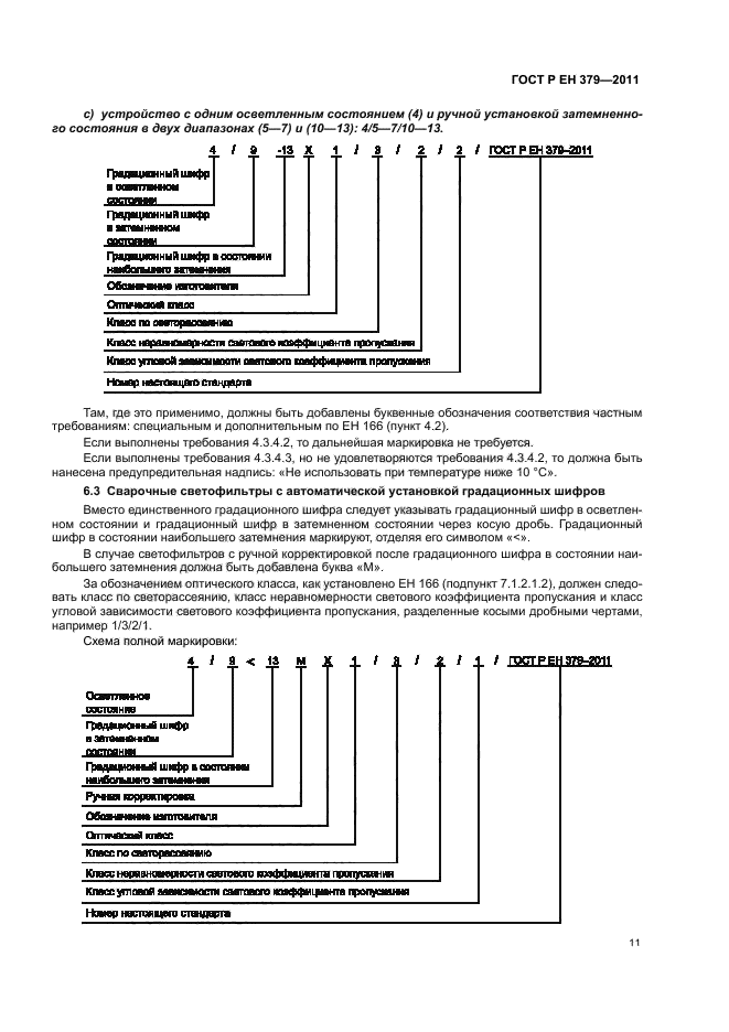
Copyright © www.gostrf.com, 2008 - 2026