Крупнейшая бесплатная информационно-справочная система онлайн доступа к полному собранию технических нормативно-правовых актов РФ. Огромная база технических нормативов (более 150 тысяч документов) и полное собрание национальных стандартов, аутентичное официальной базе Госстандарта. GOSTRF.com - это более 1 Терабайта бесплатной технической информации для всех пользователей интернета. Все электронные копии представленных здесь документов могут распространяться без каких-либо ограничений. Поощряется распространение информации с этого сайта на любых других ресурсах. Каждый человек имеет право на неограниченный доступ к этим документам! Каждый человек имеет право на знание требований, изложенных в данных нормативно-правовых актах!

  


 

ГОСТ Р 54808-2011

Арматура трубопроводная. Нормы герметичности затворов

Обозначение:ГОСТ Р 54808-2011
Текущий статус документа: действующий
Название документа рус.:Арматура трубопроводная. Нормы герметичности затворов
Название документа англ.:Pipeline valves. Leakage rates of valves
Дата актуализации текста:01.12.2013
Дата издания:18.06.2012
Дата введения:01.07.2012
Дата последнего изменения:23.05.2013
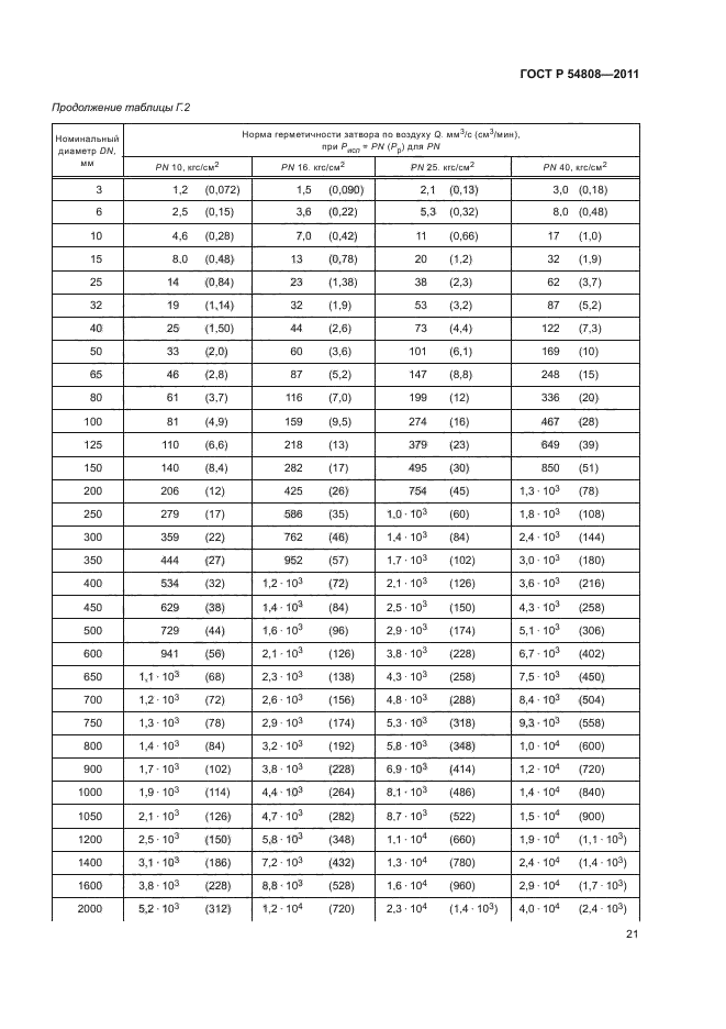
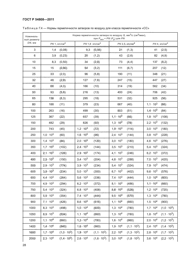
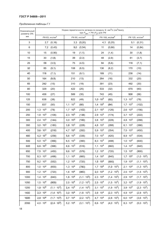
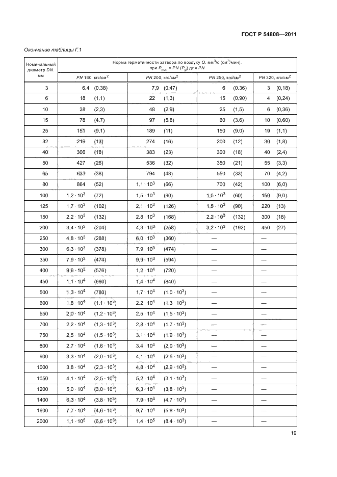
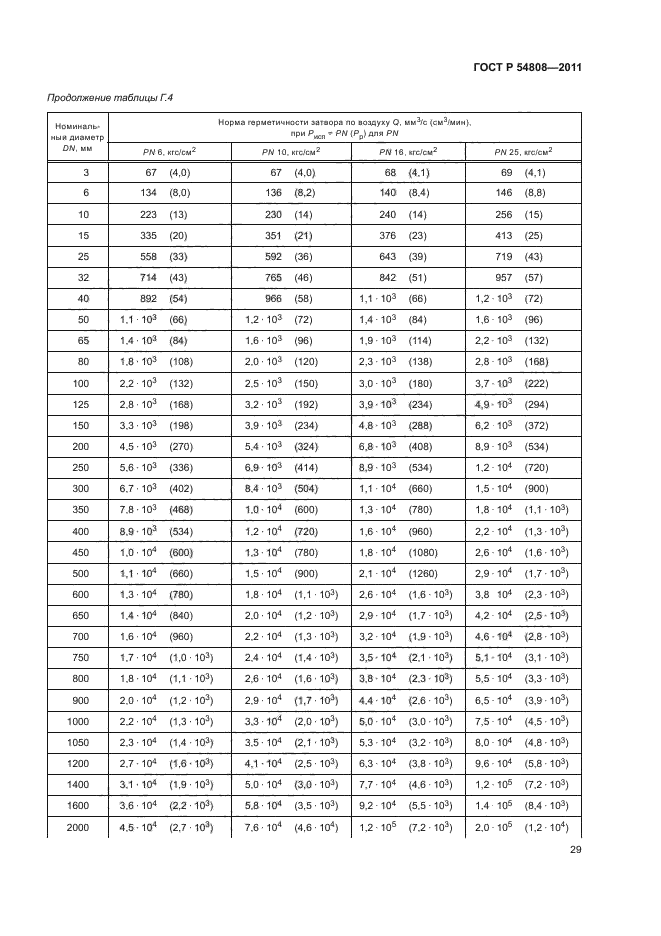
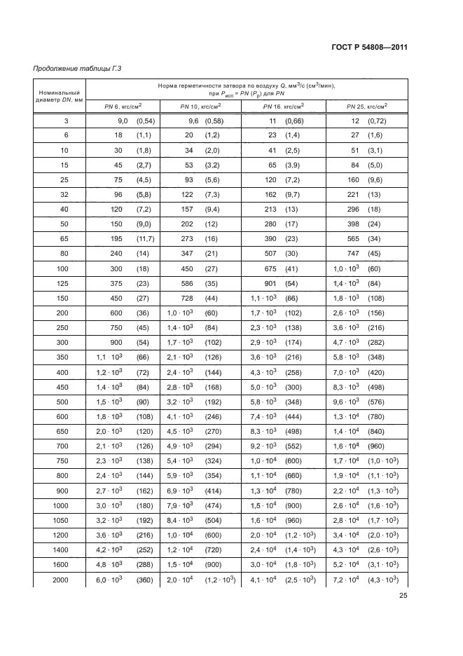
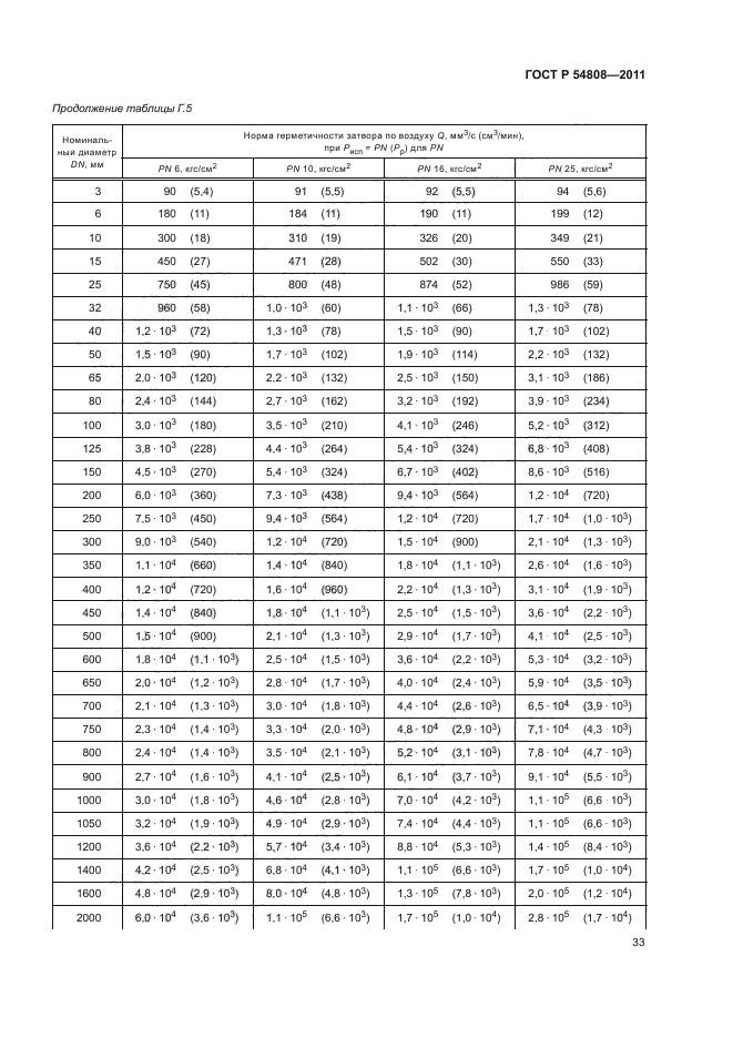
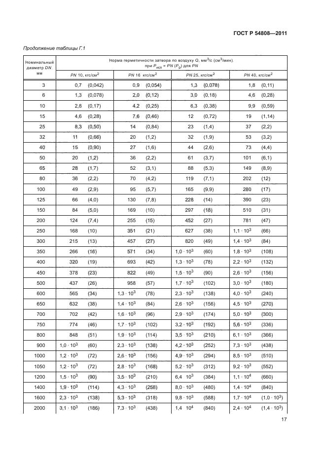
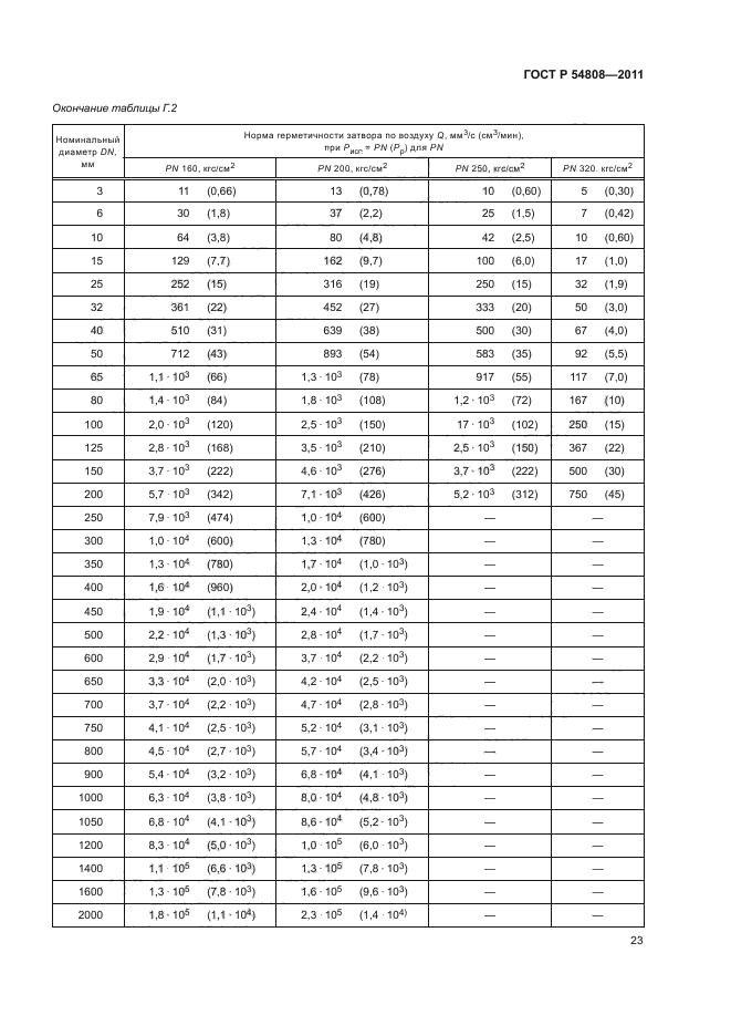
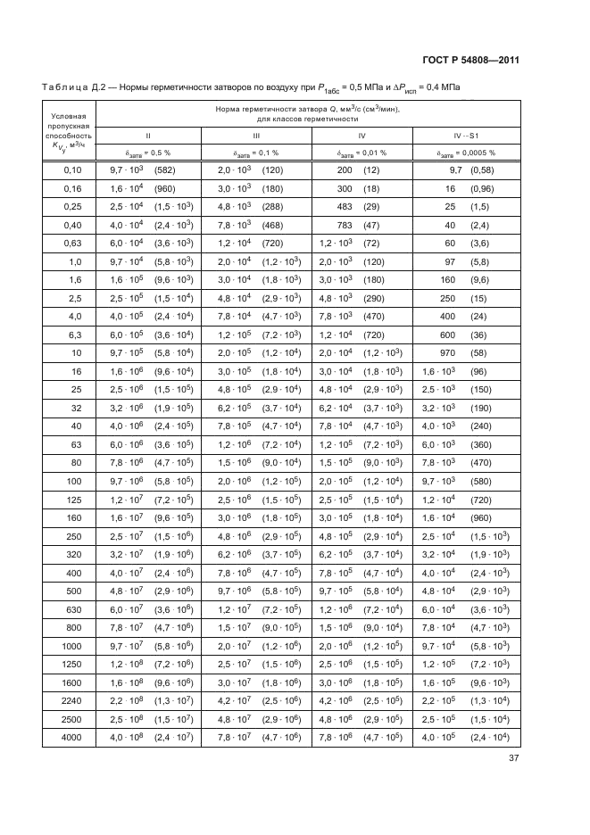
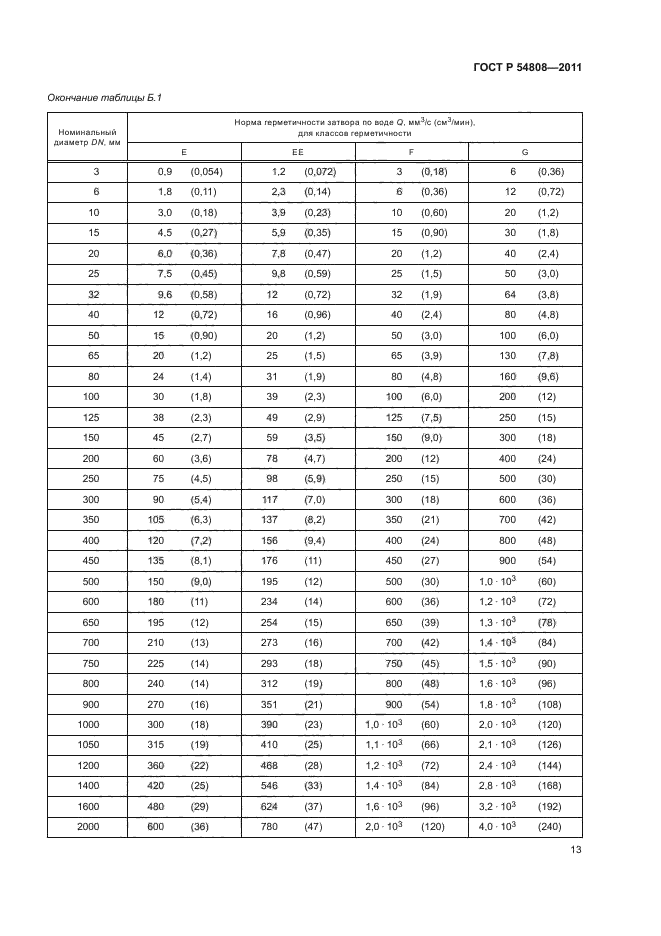
Область применения:Настоящий стандарт устанавливает нормы и классы герметичности затворов трубопроводной арматуры (далее – арматура) номинальных диаметров от DN 3 до DN 2000 на номинальные давления от PN 1 до PN 420 всех видов (запорная, обратная, предохранительная, регулирующая, распределительно-смесительная, фазоразделительная) и всех типов (задвижки, клапаны, краны и дисковые затворы), а также для комбинированной арматуры.
Нормы герметичности, приведенные в стандарте, применяют при всех видах испытаний, а также при проверках герметичности затвора арматуры в процессе эксплуатации.
Настоящий стандарт пригоден для целей подтверждения соответствия
Список изменений:№0 от 25.12.2012 (рег. 25.12.2012) «Дата введения перенесена»
Приложение №1:Поправка к ГОСТ Р 54808-2011
ГОСТ Р 54808-2011ГОСТ Р 54808-2011ГОСТ Р 54808-2011ГОСТ Р 54808-2011ГОСТ Р 54808-2011ГОСТ Р 54808-2011ГОСТ Р 54808-2011ГОСТ Р 54808-2011ГОСТ Р 54808-2011ГОСТ Р 54808-2011ГОСТ Р 54808-2011ГОСТ Р 54808-2011ГОСТ Р 54808-2011ГОСТ Р 54808-2011ГОСТ Р 54808-2011ГОСТ Р 54808-2011ГОСТ Р 54808-2011ГОСТ Р 54808-2011ГОСТ Р 54808-2011ГОСТ Р 54808-2011ГОСТ Р 54808-2011ГОСТ Р 54808-2011ГОСТ Р 54808-2011ГОСТ Р 54808-2011ГОСТ Р 54808-2011ГОСТ Р 54808-2011ГОСТ Р 54808-2011ГОСТ Р 54808-2011ГОСТ Р 54808-2011ГОСТ Р 54808-2011ГОСТ Р 54808-2011ГОСТ Р 54808-2011ГОСТ Р 54808-2011ГОСТ Р 54808-2011ГОСТ Р 54808-2011ГОСТ Р 54808-2011ГОСТ Р 54808-2011ГОСТ Р 54808-2011ГОСТ Р 54808-2011ГОСТ Р 54808-2011ГОСТ Р 54808-2011ГОСТ Р 54808-2011ГОСТ Р 54808-2011ГОСТ Р 54808-2011ГОСТ Р 54808-2011ГОСТ Р 54808-2011

Поправка к ГОСТ Р 54808-2011

Обозначение:Поправка к ГОСТ Р 54808-2011
Дата введения:25.12.2012


Поправка к ГОСТ Р 54808-2011
 




ГОСТЫ, СТРОИТЕЛЬНЫЕ и ТЕХНИЧЕСКИЕ НОРМАТИВЫ.
Некоммерческая онлайн система, содержащая все Российские Госты, национальные Стандарты и нормативы.
В Системе содержится более 150000 файлов нормативно-технической документации, действующей на территории РФ.
Система предназначена для широкого круга инженерно-технических специалистов.

Рейтинг@Mail.ru Яндекс цитирования

Copyright © www.gostrf.com, 2008 - 2026