Крупнейшая бесплатная информационно-справочная система онлайн доступа к полному собранию технических нормативно-правовых актов РФ. Огромная база технических нормативов (более 150 тысяч документов) и полное собрание национальных стандартов, аутентичное официальной базе Госстандарта. GOSTRF.com - это более 1 Терабайта бесплатной технической информации для всех пользователей интернета. Все электронные копии представленных здесь документов могут распространяться без каких-либо ограничений. Поощряется распространение информации с этого сайта на любых других ресурсах. Каждый человек имеет право на неограниченный доступ к этим документам! Каждый человек имеет право на знание требований, изложенных в данных нормативно-правовых актах!

  


 

ГОСТ Р 27.601-2011

Надежность в технике. Управление надежностью. Техническое обслуживание и его обеспечение

Обозначение:ГОСТ Р 27.601-2011
Текущий статус документа: действующий
Название документа рус.:Надежность в технике. Управление надежностью. Техническое обслуживание и его обеспечение
Название документа англ.:Dependability in technics. Dependability management. Maintenance and maintenance support
Дата актуализации текста:01.12.2013
Дата издания:08.02.2013
Дата введения:01.06.2012
Дата последнего изменения:20.06.2013
Переиздание:переиздание
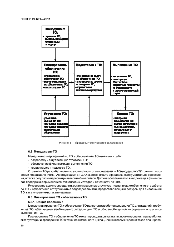
Область применения:Настоящий стандарт описывает процесс технического обслуживания (ТО) и его обеспечения, устанавливает также различные минимальные общие методы, которыми следует руководствоваться при этом. Цель настоящего стандарта - установление общих требований к менеджменту, процессам и методам, относящимся к техническому обслуживанию и его обеспечению, необходимых для достижения надлежащей надежности, отвечающей эксплуатационным требованиям потребителя.
Настоящий стандарт предназначен для использования широким кругом поставщиков, организаций, обеспечивающих техническое обслуживание, а также пользователей и может использоваться для изделий всех видов
ГОСТ Р 27.601-2011ГОСТ Р 27.601-2011ГОСТ Р 27.601-2011ГОСТ Р 27.601-2011ГОСТ Р 27.601-2011ГОСТ Р 27.601-2011ГОСТ Р 27.601-2011ГОСТ Р 27.601-2011ГОСТ Р 27.601-2011ГОСТ Р 27.601-2011ГОСТ Р 27.601-2011ГОСТ Р 27.601-2011ГОСТ Р 27.601-2011ГОСТ Р 27.601-2011ГОСТ Р 27.601-2011ГОСТ Р 27.601-2011ГОСТ Р 27.601-2011ГОСТ Р 27.601-2011ГОСТ Р 27.601-2011ГОСТ Р 27.601-2011ГОСТ Р 27.601-2011ГОСТ Р 27.601-2011ГОСТ Р 27.601-2011ГОСТ Р 27.601-2011ГОСТ Р 27.601-2011ГОСТ Р 27.601-2011ГОСТ Р 27.601-2011ГОСТ Р 27.601-2011ГОСТ Р 27.601-2011ГОСТ Р 27.601-2011ГОСТ Р 27.601-2011ГОСТ Р 27.601-2011ГОСТ Р 27.601-2011ГОСТ Р 27.601-2011ГОСТ Р 27.601-2011ГОСТ Р 27.601-2011
 




ГОСТЫ, СТРОИТЕЛЬНЫЕ и ТЕХНИЧЕСКИЕ НОРМАТИВЫ.
Некоммерческая онлайн система, содержащая все Российские Госты, национальные Стандарты и нормативы.
В Системе содержится более 150000 файлов нормативно-технической документации, действующей на территории РФ.
Система предназначена для широкого круга инженерно-технических специалистов.

Рейтинг@Mail.ru Яндекс цитирования

Copyright © www.gostrf.com, 2008 - 2026