Крупнейшая бесплатная информационно-справочная система онлайн доступа к полному собранию технических нормативно-правовых актов РФ. Огромная база технических нормативов (более 150 тысяч документов) и полное собрание национальных стандартов, аутентичное официальной базе Госстандарта. GOSTRF.com - это более 1 Терабайта бесплатной технической информации для всех пользователей интернета. Все электронные копии представленных здесь документов могут распространяться без каких-либо ограничений. Поощряется распространение информации с этого сайта на любых других ресурсах. Каждый человек имеет право на неограниченный доступ к этим документам! Каждый человек имеет право на знание требований, изложенных в данных нормативно-правовых актах!

  


 

ГОСТ Р 54667-2011

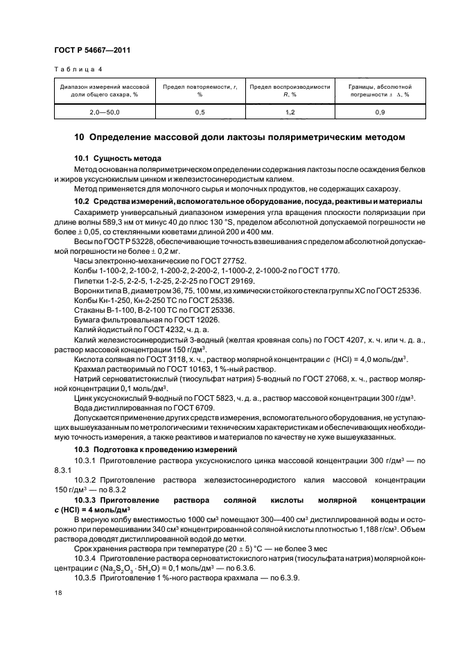
Молоко и продукты переработки молока. Методы определения массовой доли сахаров

Обозначение:ГОСТ Р 54667-2011
Текущий статус документа: действующий
Название документа рус.:Молоко и продукты переработки молока. Методы определения массовой доли сахаров
Название документа англ.:Milk and milk products. Methods for determination of sugars mass fraction
Дата актуализации текста:01.12.2013
Дата издания:13.08.2012
Дата введения:01.01.2013
Дата последнего изменения:22.05.2013
Область применения:Настоящий стандарт распространяется на молоко и продукты переработки молока и устанавливает методы определения массовых долей сахаров (сахарозы, лактозы и общего сахара):
- йодометрический метод;
- метод Бертрана;
- ускоренный феррицианидный метод;
- поляриметрический метод.
Стандарт не распространяется на молочные консервы
ГОСТ Р 54667-2011ГОСТ Р 54667-2011ГОСТ Р 54667-2011ГОСТ Р 54667-2011ГОСТ Р 54667-2011ГОСТ Р 54667-2011ГОСТ Р 54667-2011ГОСТ Р 54667-2011ГОСТ Р 54667-2011ГОСТ Р 54667-2011ГОСТ Р 54667-2011ГОСТ Р 54667-2011ГОСТ Р 54667-2011ГОСТ Р 54667-2011ГОСТ Р 54667-2011ГОСТ Р 54667-2011ГОСТ Р 54667-2011ГОСТ Р 54667-2011ГОСТ Р 54667-2011ГОСТ Р 54667-2011ГОСТ Р 54667-2011ГОСТ Р 54667-2011ГОСТ Р 54667-2011ГОСТ Р 54667-2011ГОСТ Р 54667-2011ГОСТ Р 54667-2011ГОСТ Р 54667-2011ГОСТ Р 54667-2011
 




ГОСТЫ, СТРОИТЕЛЬНЫЕ и ТЕХНИЧЕСКИЕ НОРМАТИВЫ.
Некоммерческая онлайн система, содержащая все Российские Госты, национальные Стандарты и нормативы.
В Системе содержится более 150000 файлов нормативно-технической документации, действующей на территории РФ.
Система предназначена для широкого круга инженерно-технических специалистов.

Рейтинг@Mail.ru Яндекс цитирования

Copyright © www.gostrf.com, 2008 - 2026