Крупнейшая бесплатная информационно-справочная система онлайн доступа к полному собранию технических нормативно-правовых актов РФ. Огромная база технических нормативов (более 150 тысяч документов) и полное собрание национальных стандартов, аутентичное официальной базе Госстандарта. GOSTRF.com - это более 1 Терабайта бесплатной технической информации для всех пользователей интернета. Все электронные копии представленных здесь документов могут распространяться без каких-либо ограничений. Поощряется распространение информации с этого сайта на любых других ресурсах. Каждый человек имеет право на неограниченный доступ к этим документам! Каждый человек имеет право на знание требований, изложенных в данных нормативно-правовых актах!

  


 

ГОСТ Р 8.770-2011

Государственная система обеспечения единства измерений. Газ природный. Коэффициент динамической вязкости сжатого газа с известным компонентным составом. Метод расчетного определения

Обозначение:ГОСТ Р 8.770-2011
Текущий статус документа: действующий
Название документа рус.:Государственная система обеспечения единства измерений. Газ природный. Коэффициент динамической вязкости сжатого газа с известным компонентным составом. Метод расчетного определения
Название документа англ.:State system for ensuring the uniformity of measurements. Natural gas. The dynamic viscosity of compressed gas with a known component composition. The method of calculation
Дата актуализации текста:01.12.2013
Дата издания:29.08.2012
Дата введения:01.01.2013
Дата последнего изменения:22.05.2013
Область применения:Настоящий стандарт устанавливает метод расчетного определения динамической вязкости природного газа, подготовленного для транспортирования и распределения по магистральным газопроводам, при условии его нахождения только в газовой фазе.
Стандарт распространяется на подготовленные для транспортирования по магистральным газопроводам газы в диапазонах давления P и температуры T, при которых на практике осуществляют транспортирование и распределение газов
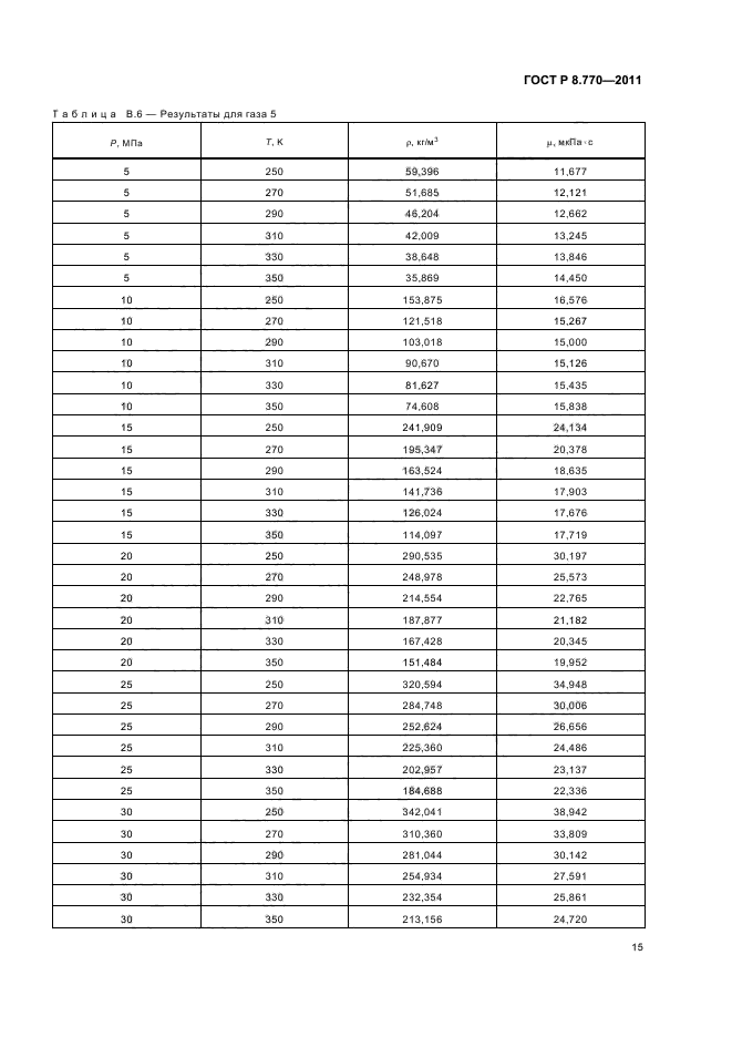
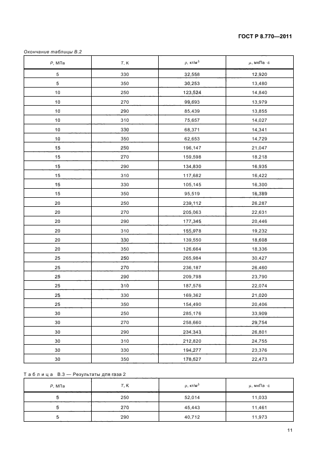
ГОСТ Р 8.770-2011ГОСТ Р 8.770-2011ГОСТ Р 8.770-2011ГОСТ Р 8.770-2011ГОСТ Р 8.770-2011ГОСТ Р 8.770-2011ГОСТ Р 8.770-2011ГОСТ Р 8.770-2011ГОСТ Р 8.770-2011ГОСТ Р 8.770-2011ГОСТ Р 8.770-2011ГОСТ Р 8.770-2011ГОСТ Р 8.770-2011ГОСТ Р 8.770-2011ГОСТ Р 8.770-2011ГОСТ Р 8.770-2011ГОСТ Р 8.770-2011ГОСТ Р 8.770-2011ГОСТ Р 8.770-2011ГОСТ Р 8.770-2011ГОСТ Р 8.770-2011ГОСТ Р 8.770-2011ГОСТ Р 8.770-2011ГОСТ Р 8.770-2011
 




ГОСТЫ, СТРОИТЕЛЬНЫЕ и ТЕХНИЧЕСКИЕ НОРМАТИВЫ.
Некоммерческая онлайн система, содержащая все Российские Госты, национальные Стандарты и нормативы.
В Системе содержится более 150000 файлов нормативно-технической документации, действующей на территории РФ.
Система предназначена для широкого круга инженерно-технических специалистов.

Рейтинг@Mail.ru Яндекс цитирования

Copyright © www.gostrf.com, 2008 - 2026