Крупнейшая бесплатная информационно-справочная система онлайн доступа к полному собранию технических нормативно-правовых актов РФ. Огромная база технических нормативов (более 150 тысяч документов) и полное собрание национальных стандартов, аутентичное официальной базе Госстандарта. GOSTRF.com - это более 1 Терабайта бесплатной технической информации для всех пользователей интернета. Все электронные копии представленных здесь документов могут распространяться без каких-либо ограничений. Поощряется распространение информации с этого сайта на любых других ресурсах. Каждый человек имеет право на неограниченный доступ к этим документам! Каждый человек имеет право на знание требований, изложенных в данных нормативно-правовых актах!

  


 

ГОСТ Р ИСО/ТС 10303-439-2011

Системы автоматизации производства и их интеграция. Представление данных об изделии и обмен этими данными. Часть 439. Прикладной модуль. Поддержка жизненного цикла изделий по прикладному протоколу ПП239

Обозначение:ГОСТ Р ИСО/ТС 10303-439-2011
Текущий статус документа: действующий
Название документа рус.:Системы автоматизации производства и их интеграция. Представление данных об изделии и обмен этими данными. Часть 439. Прикладной модуль. Поддержка жизненного цикла изделий по прикладному протоколу ПП239
Название документа англ.:Industrial automation systems and integration. Product data representation and exchange. Part 439. Application module. AP239 product life cycle support
Дата актуализации текста:01.12.2013
Дата издания:26.07.2012
Дата введения:01.08.2012
Дата последнего изменения:22.05.2013
Область применения:Настоящий стандарт определяет прикладной модуль «Поддержка жизненного цикла изделий по прикладному протоколу ПП239».
Требования настоящего стандарта распространяются на:
- информацию, определяющую сложное изделие и техническое решение по его поддержке;
- информацию, необходимую для технического обслуживания сложного изделия;
- информацию, необходимую для управления изменениями конфигурации изделия и технического решения по его поддержке в течение жизненного цикла;
- представление сборок, входящих в изделие, включая:
- идентификацию и представление деталей, их версий, определений, а также технической документации и управленческой информации, например, даты и необходимые согласования, установленные для деталей;
- представление разнообразных конструктивных представлений и схем деления изделия;
- представление формы сборки как композиции представлений форм ее компонентов;
- идентификацию позиций деталей в сборке, к которым могут стыковаться другие детали;
- связь нормированных свойств с деталью или сборкой;
- представление интерфейсов между изделиями;
- классификацию деталей, документов и сборок;
- представление изделия в течение жизненного цикла, включая:
- представление требований к изделию и их выполнения;
- представление существующих или возможных будущих изделий;
- идентификацию конфигурации изделия для заданного применения;
- спецификацию ограничений эффективности, привязанных к конфигурации изделия;
- представление прогнозируемых и наблюдаемых состояний изделий;
- спецификацию и планирование действий для изделия, включая:
- спецификацию заданий, которые должны быть выполнены над изделием;
- представление условий для выполнения заданий, включая необходимые ресурсы и размещение ресурсов и изделия;
- представление типа и квалификации персонала, необходимого для выполнения задания;
- представление планирования и диспетчеризации заданий, а также санкционирование и управление последующей работой;
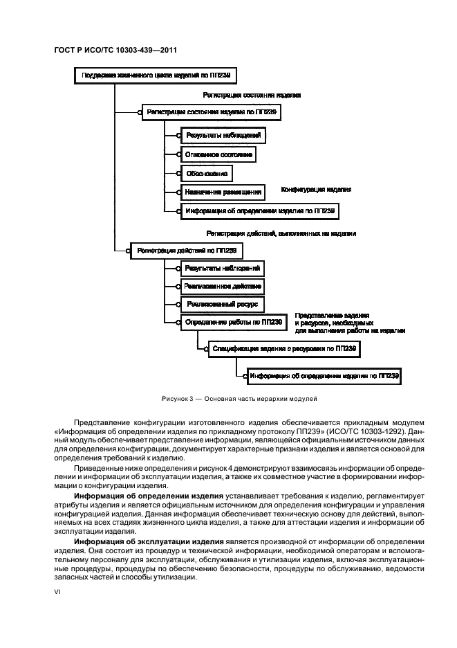
- представление истории использования изделия, включая:
- регистрацию использования изделия и ресурсов;
- регистрацию действий, выполненных над изделием и использованными ресурсами;
- представление истории изделия, включая:
- регистрацию состояний изделия за прошедшее время;
- регистрацию состояний конфигурации изделия за прошедшее время;
- размещение данных об изделии;
- результаты наблюдений за параметрами изделия.
Требования настоящего стандарта не распространяются на:
- представление хозяйственных операций по заказу, поставке или возврату изделий и других ресурсов, необходимых для технической поддержки изделия;
- представление хозяйственных операций, относящихся к транспортировке, отгрузке и приемке изделий и других ресурсов, необходимых для технической поддержки изделия
ГОСТ Р ИСО/ТС 10303-439-2011ГОСТ Р ИСО/ТС 10303-439-2011ГОСТ Р ИСО/ТС 10303-439-2011ГОСТ Р ИСО/ТС 10303-439-2011ГОСТ Р ИСО/ТС 10303-439-2011ГОСТ Р ИСО/ТС 10303-439-2011ГОСТ Р ИСО/ТС 10303-439-2011ГОСТ Р ИСО/ТС 10303-439-2011ГОСТ Р ИСО/ТС 10303-439-2011ГОСТ Р ИСО/ТС 10303-439-2011ГОСТ Р ИСО/ТС 10303-439-2011ГОСТ Р ИСО/ТС 10303-439-2011ГОСТ Р ИСО/ТС 10303-439-2011ГОСТ Р ИСО/ТС 10303-439-2011ГОСТ Р ИСО/ТС 10303-439-2011ГОСТ Р ИСО/ТС 10303-439-2011ГОСТ Р ИСО/ТС 10303-439-2011ГОСТ Р ИСО/ТС 10303-439-2011ГОСТ Р ИСО/ТС 10303-439-2011ГОСТ Р ИСО/ТС 10303-439-2011ГОСТ Р ИСО/ТС 10303-439-2011ГОСТ Р ИСО/ТС 10303-439-2011ГОСТ Р ИСО/ТС 10303-439-2011ГОСТ Р ИСО/ТС 10303-439-2011
 




ГОСТЫ, СТРОИТЕЛЬНЫЕ и ТЕХНИЧЕСКИЕ НОРМАТИВЫ.
Некоммерческая онлайн система, содержащая все Российские Госты, национальные Стандарты и нормативы.
В Системе содержится более 150000 файлов нормативно-технической документации, действующей на территории РФ.
Система предназначена для широкого круга инженерно-технических специалистов.

Рейтинг@Mail.ru Яндекс цитирования

Copyright © www.gostrf.com, 2008 - 2026