Крупнейшая бесплатная информационно-справочная система онлайн доступа к полному собранию технических нормативно-правовых актов РФ. Огромная база технических нормативов (более 150 тысяч документов) и полное собрание национальных стандартов, аутентичное официальной базе Госстандарта. GOSTRF.com - это более 1 Терабайта бесплатной технической информации для всех пользователей интернета. Все электронные копии представленных здесь документов могут распространяться без каких-либо ограничений. Поощряется распространение информации с этого сайта на любых других ресурсах. Каждый человек имеет право на неограниченный доступ к этим документам! Каждый человек имеет право на знание требований, изложенных в данных нормативно-правовых актах!

  


 

ГОСТ Р ИСО/ТС 10303-1022-2011

Системы автоматизации производства и их интеграция. Представление данных об изделии и обмен этими данными. Часть 1022. Прикладной модуль. Идентификация детали и ее версии

Обозначение:ГОСТ Р ИСО/ТС 10303-1022-2011
Текущий статус документа: действующий
Название документа рус.:Системы автоматизации производства и их интеграция. Представление данных об изделии и обмен этими данными. Часть 1022. Прикладной модуль. Идентификация детали и ее версии
Название документа англ.:Industrial automation systems and integration. Product data representation and exchange. Part 1022. Application module. Part and version identification
Дата актуализации текста:01.12.2013
Дата издания:23.08.2012
Дата введения:01.08.2012
Дата последнего изменения:22.05.2013
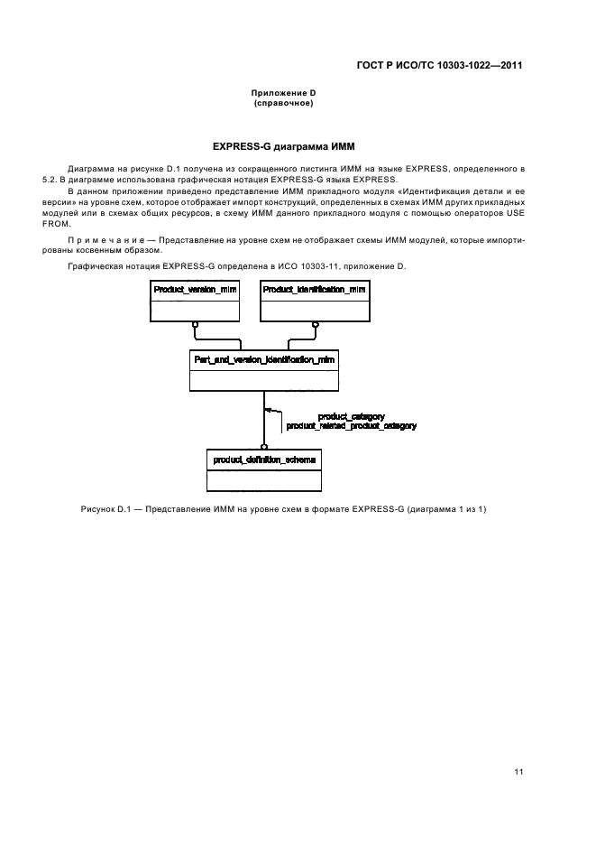
Область применения:Настоящий стандарт определяет прикладной модуль «Идентификация детали и ее версии».
Требования настоящего стандарта распространяются на:
- идентификацию детали;
- идентификацию несчетного материала;
- идентификацию версии детали или несчетного материала;
- объекты, относящиеся к области применения прикладного модуля «Идентификация изделия», определенного в ИСО/ТС 10303-1017;
- объекты, относящиеся к области применения прикладного модуля «Версия изделия», определенного в ИСО/ТС 10303-1018
ГОСТ Р ИСО/ТС 10303-1022-2011ГОСТ Р ИСО/ТС 10303-1022-2011ГОСТ Р ИСО/ТС 10303-1022-2011ГОСТ Р ИСО/ТС 10303-1022-2011ГОСТ Р ИСО/ТС 10303-1022-2011ГОСТ Р ИСО/ТС 10303-1022-2011ГОСТ Р ИСО/ТС 10303-1022-2011ГОСТ Р ИСО/ТС 10303-1022-2011ГОСТ Р ИСО/ТС 10303-1022-2011ГОСТ Р ИСО/ТС 10303-1022-2011ГОСТ Р ИСО/ТС 10303-1022-2011ГОСТ Р ИСО/ТС 10303-1022-2011ГОСТ Р ИСО/ТС 10303-1022-2011ГОСТ Р ИСО/ТС 10303-1022-2011ГОСТ Р ИСО/ТС 10303-1022-2011ГОСТ Р ИСО/ТС 10303-1022-2011ГОСТ Р ИСО/ТС 10303-1022-2011ГОСТ Р ИСО/ТС 10303-1022-2011ГОСТ Р ИСО/ТС 10303-1022-2011ГОСТ Р ИСО/ТС 10303-1022-2011
 




ГОСТЫ, СТРОИТЕЛЬНЫЕ и ТЕХНИЧЕСКИЕ НОРМАТИВЫ.
Некоммерческая онлайн система, содержащая все Российские Госты, национальные Стандарты и нормативы.
В Системе содержится более 150000 файлов нормативно-технической документации, действующей на территории РФ.
Система предназначена для широкого круга инженерно-технических специалистов.

Рейтинг@Mail.ru Яндекс цитирования

Copyright © www.gostrf.com, 2008 - 2026