Крупнейшая бесплатная информационно-справочная система онлайн доступа к полному собранию технических нормативно-правовых актов РФ. Огромная база технических нормативов (более 150 тысяч документов) и полное собрание национальных стандартов, аутентичное официальной базе Госстандарта. GOSTRF.com - это более 1 Терабайта бесплатной технической информации для всех пользователей интернета. Все электронные копии представленных здесь документов могут распространяться без каких-либо ограничений. Поощряется распространение информации с этого сайта на любых других ресурсах. Каждый человек имеет право на неограниченный доступ к этим документам! Каждый человек имеет право на знание требований, изложенных в данных нормативно-правовых актах!

  


 

ГОСТ Р 54090-2010

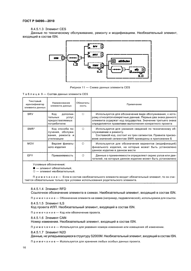
Интегрированная логистическая поддержка. Перечни и каталоги предметов поставки. Основные положения и общие требования

Обозначение:ГОСТ Р 54090-2010
Текущий статус документа: действующий
Название документа рус.:Интегрированная логистическая поддержка. Перечни и каталоги предметов поставки. Основные положения и общие требования
Название документа англ.:Integrated logistic support. Electronic lists and catalogues of provisioning items. Basic principles and general requirements
Дата актуализации текста:01.12.2013
Дата издания:05.09.2012
Дата введения:31.08.2011
Дата последнего изменения:23.05.2013
Область применения:Настоящий стандарт устанавливает общие требования к номенклатуре перечней и каталогов изделий (запасных частей), расходных материалов, инструмента, вспомогательного оборудования и т.д., предназначенных для обеспечения интегрированной логистической поддержки промышленных изделий в рамках информационной поддержки их жизненного цикла, а также устанавливает требования к выполнению каталогов и перечней и составу данных в них.
Настоящий документ предназначен для применения при разработке новых образцов изделий, а также при совершенствовании процессов технической эксплуатации уже используемых изделий, при поставках изделий отечественным государственным и иностранным заказчикам
ГОСТ Р 54090-2010ГОСТ Р 54090-2010ГОСТ Р 54090-2010ГОСТ Р 54090-2010ГОСТ Р 54090-2010ГОСТ Р 54090-2010ГОСТ Р 54090-2010ГОСТ Р 54090-2010ГОСТ Р 54090-2010ГОСТ Р 54090-2010ГОСТ Р 54090-2010ГОСТ Р 54090-2010ГОСТ Р 54090-2010ГОСТ Р 54090-2010ГОСТ Р 54090-2010ГОСТ Р 54090-2010ГОСТ Р 54090-2010ГОСТ Р 54090-2010ГОСТ Р 54090-2010ГОСТ Р 54090-2010ГОСТ Р 54090-2010ГОСТ Р 54090-2010ГОСТ Р 54090-2010ГОСТ Р 54090-2010ГОСТ Р 54090-2010ГОСТ Р 54090-2010ГОСТ Р 54090-2010ГОСТ Р 54090-2010ГОСТ Р 54090-2010ГОСТ Р 54090-2010ГОСТ Р 54090-2010ГОСТ Р 54090-2010
 




ГОСТЫ, СТРОИТЕЛЬНЫЕ и ТЕХНИЧЕСКИЕ НОРМАТИВЫ.
Некоммерческая онлайн система, содержащая все Российские Госты, национальные Стандарты и нормативы.
В Системе содержится более 150000 файлов нормативно-технической документации, действующей на территории РФ.
Система предназначена для широкого круга инженерно-технических специалистов.

Рейтинг@Mail.ru Яндекс цитирования

Copyright © www.gostrf.com, 2008 - 2026