Крупнейшая бесплатная информационно-справочная система онлайн доступа к полному собранию технических нормативно-правовых актов РФ. Огромная база технических нормативов (более 150 тысяч документов) и полное собрание национальных стандартов, аутентичное официальной базе Госстандарта. GOSTRF.com - это более 1 Терабайта бесплатной технической информации для всех пользователей интернета. Все электронные копии представленных здесь документов могут распространяться без каких-либо ограничений. Поощряется распространение информации с этого сайта на любых других ресурсах. Каждый человек имеет право на неограниченный доступ к этим документам! Каждый человек имеет право на знание требований, изложенных в данных нормативно-правовых актах!

  


 

ГОСТ Р 54354-2011

Мясо и мясные продукты. Общие требования и методы микробиологического анализа

Обозначение:ГОСТ Р 54354-2011
Текущий статус документа: действующий
Название документа рус.:Мясо и мясные продукты. Общие требования и методы микробиологического анализа
Название документа англ.:Meat and meat products. General requirements and methods of microbiological testing
Дата актуализации текста:01.12.2013
Дата издания:16.01.2013
Дата введения:01.01.2013
Дата последнего изменения:20.06.2013
Область применения:Настоящий стандарт распространяется на мясо (все виды убойных животных), полуфабрикаты, субпродукты, колбасные изделия и продукты из мяса и устанавливает общие требования и методы микробиологического анализа.
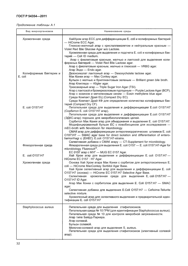
Выявление и определение микроорганизмов:
- количества мезофильных аэробных и факультативно-анаэробных микроорганизмов (КМАФАнМ);
- бактерий группы кишечных палочек (колиформных бактерий - БГКП);
- бактерий рода Proteus;
- бактерий рода Pseudomonas;
- дрожжей и плесневых грибов;
- молочнокислых микроорганизмов;
- сульфитредуцирующих клостридий;
- энтерококков;
- бактерий рода Salmonella;
- Listeria monocytogenes;
- Escherichia coli;
- Staphylococcus aureus;
- коагулазоположительных стафилококков;
- Yersinia enterocolitica;
- бактерий рода Campylobacter;
- Bacillus cereus
ГОСТ Р 54354-2011ГОСТ Р 54354-2011ГОСТ Р 54354-2011ГОСТ Р 54354-2011ГОСТ Р 54354-2011ГОСТ Р 54354-2011ГОСТ Р 54354-2011ГОСТ Р 54354-2011ГОСТ Р 54354-2011ГОСТ Р 54354-2011ГОСТ Р 54354-2011ГОСТ Р 54354-2011ГОСТ Р 54354-2011ГОСТ Р 54354-2011ГОСТ Р 54354-2011ГОСТ Р 54354-2011ГОСТ Р 54354-2011ГОСТ Р 54354-2011ГОСТ Р 54354-2011ГОСТ Р 54354-2011ГОСТ Р 54354-2011ГОСТ Р 54354-2011ГОСТ Р 54354-2011ГОСТ Р 54354-2011ГОСТ Р 54354-2011ГОСТ Р 54354-2011ГОСТ Р 54354-2011ГОСТ Р 54354-2011ГОСТ Р 54354-2011ГОСТ Р 54354-2011ГОСТ Р 54354-2011ГОСТ Р 54354-2011ГОСТ Р 54354-2011ГОСТ Р 54354-2011ГОСТ Р 54354-2011ГОСТ Р 54354-2011ГОСТ Р 54354-2011ГОСТ Р 54354-2011ГОСТ Р 54354-2011ГОСТ Р 54354-2011ГОСТ Р 54354-2011ГОСТ Р 54354-2011
 




ГОСТЫ, СТРОИТЕЛЬНЫЕ и ТЕХНИЧЕСКИЕ НОРМАТИВЫ.
Некоммерческая онлайн система, содержащая все Российские Госты, национальные Стандарты и нормативы.
В Системе содержится более 150000 файлов нормативно-технической документации, действующей на территории РФ.
Система предназначена для широкого круга инженерно-технических специалистов.

Рейтинг@Mail.ru Яндекс цитирования

Copyright © www.gostrf.com, 2008 - 2026