Крупнейшая бесплатная информационно-справочная система онлайн доступа к полному собранию технических нормативно-правовых актов РФ. Огромная база технических нормативов (более 150 тысяч документов) и полное собрание национальных стандартов, аутентичное официальной базе Госстандарта. GOSTRF.com - это более 1 Терабайта бесплатной технической информации для всех пользователей интернета. Все электронные копии представленных здесь документов могут распространяться без каких-либо ограничений. Поощряется распространение информации с этого сайта на любых других ресурсах. Каждый человек имеет право на неограниченный доступ к этим документам! Каждый человек имеет право на знание требований, изложенных в данных нормативно-правовых актах!

  


 

ГОСТ Р ИСО 19011-2012

Руководящие указания по аудиту систем менеджмента

Обозначение:ГОСТ Р ИСО 19011-2012
Текущий статус документа: действующий
Название документа рус.:Руководящие указания по аудиту систем менеджмента
Название документа англ.:Guidelines for auditing management systems
Дата актуализации текста:01.12.2013
Дата издания:01.02.2013
Дата введения:01.02.2013
Дата последнего изменения:21.11.2013
Область применения:Настоящий стандарт содержит руководящие указания по аудиту систем менеджмента, включая принципы аудита, управление программами аудита и проведение аудитов системы менеджмента, а также указания по оценке компетентности лиц, участвующих в процессе аудита, включая аудиторов, группы по аудиту и лиц, отвечающих за управление программой аудита.
Настоящий стандарт предназначен для всех организаций, которым необходимо проводить внутренние или внешние аудиты систем менеджмента или управлять программой аудита.
Положения настоящего стандарта могут применяться и для других типов аудита при условии, что будет уделено особое внимание вопросам, связанным с требуемым для этих целей уровнем специальной компетентности
ГОСТ Р ИСО 19011-2012ГОСТ Р ИСО 19011-2012ГОСТ Р ИСО 19011-2012ГОСТ Р ИСО 19011-2012ГОСТ Р ИСО 19011-2012ГОСТ Р ИСО 19011-2012ГОСТ Р ИСО 19011-2012ГОСТ Р ИСО 19011-2012ГОСТ Р ИСО 19011-2012ГОСТ Р ИСО 19011-2012ГОСТ Р ИСО 19011-2012ГОСТ Р ИСО 19011-2012ГОСТ Р ИСО 19011-2012ГОСТ Р ИСО 19011-2012ГОСТ Р ИСО 19011-2012ГОСТ Р ИСО 19011-2012ГОСТ Р ИСО 19011-2012ГОСТ Р ИСО 19011-2012ГОСТ Р ИСО 19011-2012ГОСТ Р ИСО 19011-2012ГОСТ Р ИСО 19011-2012ГОСТ Р ИСО 19011-2012ГОСТ Р ИСО 19011-2012ГОСТ Р ИСО 19011-2012ГОСТ Р ИСО 19011-2012ГОСТ Р ИСО 19011-2012ГОСТ Р ИСО 19011-2012ГОСТ Р ИСО 19011-2012ГОСТ Р ИСО 19011-2012ГОСТ Р ИСО 19011-2012ГОСТ Р ИСО 19011-2012ГОСТ Р ИСО 19011-2012ГОСТ Р ИСО 19011-2012ГОСТ Р ИСО 19011-2012ГОСТ Р ИСО 19011-2012ГОСТ Р ИСО 19011-2012ГОСТ Р ИСО 19011-2012ГОСТ Р ИСО 19011-2012ГОСТ Р ИСО 19011-2012ГОСТ Р ИСО 19011-2012ГОСТ Р ИСО 19011-2012ГОСТ Р ИСО 19011-2012
 




ГОСТЫ, СТРОИТЕЛЬНЫЕ и ТЕХНИЧЕСКИЕ НОРМАТИВЫ.
Некоммерческая онлайн система, содержащая все Российские Госты, национальные Стандарты и нормативы.
В Системе содержится более 150000 файлов нормативно-технической документации, действующей на территории РФ.
Система предназначена для широкого круга инженерно-технических специалистов.

Рейтинг@Mail.ru Яндекс цитирования

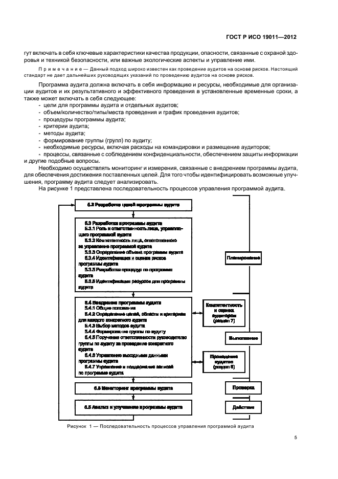
Copyright © www.gostrf.com, 2008 - 2026