Крупнейшая бесплатная информационно-справочная система онлайн доступа к полному собранию технических нормативно-правовых актов РФ. Огромная база технических нормативов (более 150 тысяч документов) и полное собрание национальных стандартов, аутентичное официальной базе Госстандарта. GOSTRF.com - это более 1 Терабайта бесплатной технической информации для всех пользователей интернета. Все электронные копии представленных здесь документов могут распространяться без каких-либо ограничений. Поощряется распространение информации с этого сайта на любых других ресурсах. Каждый человек имеет право на неограниченный доступ к этим документам! Каждый человек имеет право на знание требований, изложенных в данных нормативно-правовых актах!

  


 

ГОСТ Р 54428-2011

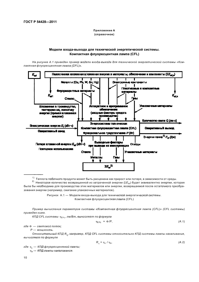
Системы технические энергетические. Методы анализа. Часть 1. Основные положения

Обозначение:ГОСТ Р 54428-2011
Текущий статус документа: действующий
Название документа рус.:Системы технические энергетические. Методы анализа. Часть 1. Основные положения
Название документа англ.:Technical energy systems. Methods for analysis. Part 1. Basic principles
Дата актуализации текста:01.12.2013
Дата издания:22.11.2012
Дата введения:01.07.2012
Дата последнего изменения:23.05.2013
Область применения:Настоящий стандарт применяется для анализа, определения характеристик и сравнения технических энергетических систем с учетом всех входных и выходных факторов, в том числе факторов риска. Настоящий стандарт содержит правила и рекомендации для такого анализа.
Настоящий стандарт предназначен для установления связей между входными и выходными факторами и, таким образом, способствует подтверждению соответствия, классификации и маркированию
ГОСТ Р 54428-2011ГОСТ Р 54428-2011ГОСТ Р 54428-2011ГОСТ Р 54428-2011ГОСТ Р 54428-2011ГОСТ Р 54428-2011ГОСТ Р 54428-2011ГОСТ Р 54428-2011ГОСТ Р 54428-2011ГОСТ Р 54428-2011ГОСТ Р 54428-2011ГОСТ Р 54428-2011ГОСТ Р 54428-2011ГОСТ Р 54428-2011ГОСТ Р 54428-2011ГОСТ Р 54428-2011ГОСТ Р 54428-2011ГОСТ Р 54428-2011ГОСТ Р 54428-2011ГОСТ Р 54428-2011
 




ГОСТЫ, СТРОИТЕЛЬНЫЕ и ТЕХНИЧЕСКИЕ НОРМАТИВЫ.
Некоммерческая онлайн система, содержащая все Российские Госты, национальные Стандарты и нормативы.
В Системе содержится более 150000 файлов нормативно-технической документации, действующей на территории РФ.
Система предназначена для широкого круга инженерно-технических специалистов.

Рейтинг@Mail.ru Яндекс цитирования

Copyright © www.gostrf.com, 2008 - 2026