Крупнейшая бесплатная информационно-справочная система онлайн доступа к полному собранию технических нормативно-правовых актов РФ. Огромная база технических нормативов (более 150 тысяч документов) и полное собрание национальных стандартов, аутентичное официальной базе Госстандарта. GOSTRF.com - это более 1 Терабайта бесплатной технической информации для всех пользователей интернета. Все электронные копии представленных здесь документов могут распространяться без каких-либо ограничений. Поощряется распространение информации с этого сайта на любых других ресурсах. Каждый человек имеет право на неограниченный доступ к этим документам! Каждый человек имеет право на знание требований, изложенных в данных нормативно-правовых актах!

  


 

ГОСТ Р 54582-2011

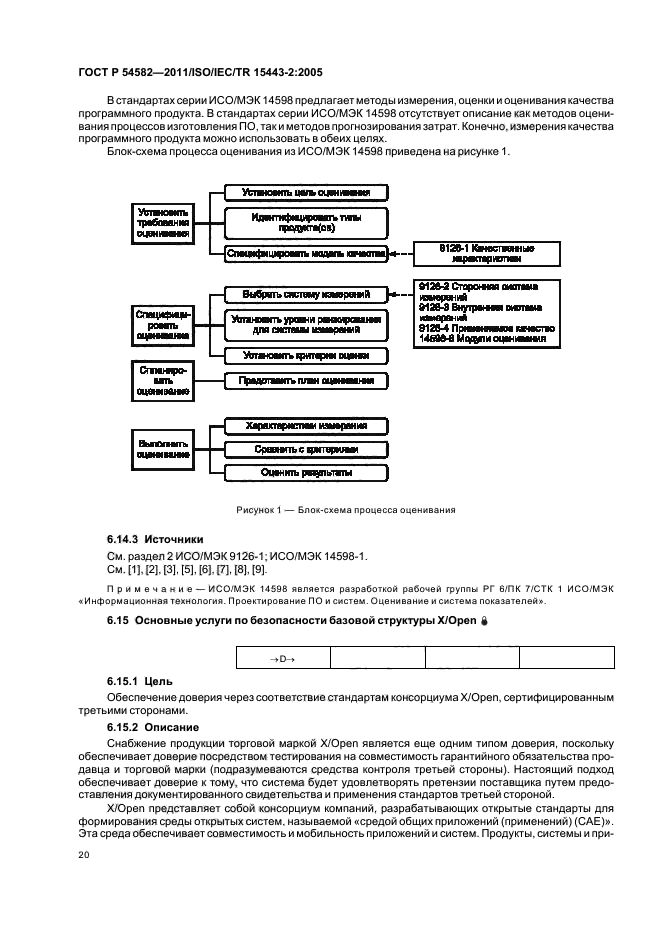
Информационная технология. Методы и средства обеспечения безопасности. Основы доверия к безопасности информационных технологий. Часть 2. Методы доверия

Обозначение:ГОСТ Р 54582-2011
Текущий статус документа: действующий
Название документа рус.:Информационная технология. Методы и средства обеспечения безопасности. Основы доверия к безопасности информационных технологий. Часть 2. Методы доверия
Название документа англ.:Information technology. Security techniques. Aframework for IT security assurance. Part 2. Assurance methods
Дата актуализации текста:01.12.2013
Дата издания:04.02.2013
Дата введения:01.12.2012
Дата последнего изменения:23.05.2013
Область применения:Настоящий стандарт представляет собой руководство в сокращенном обзорном варианте. Его достаточно для формирования из представленной совокупности методов обеспечения доверия сокращенного набора методов, применимых продукту, системе или услуге.
Краткое изложение применимых методов обеспечения доверия является информативным, представляющим основы для облегчения его понимания без обращения к первоисточникам
ГОСТ Р 54582-2011ГОСТ Р 54582-2011ГОСТ Р 54582-2011ГОСТ Р 54582-2011ГОСТ Р 54582-2011ГОСТ Р 54582-2011ГОСТ Р 54582-2011ГОСТ Р 54582-2011ГОСТ Р 54582-2011ГОСТ Р 54582-2011ГОСТ Р 54582-2011ГОСТ Р 54582-2011ГОСТ Р 54582-2011ГОСТ Р 54582-2011ГОСТ Р 54582-2011ГОСТ Р 54582-2011ГОСТ Р 54582-2011ГОСТ Р 54582-2011ГОСТ Р 54582-2011ГОСТ Р 54582-2011ГОСТ Р 54582-2011ГОСТ Р 54582-2011ГОСТ Р 54582-2011ГОСТ Р 54582-2011ГОСТ Р 54582-2011ГОСТ Р 54582-2011ГОСТ Р 54582-2011ГОСТ Р 54582-2011ГОСТ Р 54582-2011ГОСТ Р 54582-2011ГОСТ Р 54582-2011ГОСТ Р 54582-2011ГОСТ Р 54582-2011ГОСТ Р 54582-2011ГОСТ Р 54582-2011ГОСТ Р 54582-2011ГОСТ Р 54582-2011ГОСТ Р 54582-2011ГОСТ Р 54582-2011ГОСТ Р 54582-2011ГОСТ Р 54582-2011ГОСТ Р 54582-2011ГОСТ Р 54582-2011ГОСТ Р 54582-2011ГОСТ Р 54582-2011ГОСТ Р 54582-2011ГОСТ Р 54582-2011ГОСТ Р 54582-2011ГОСТ Р 54582-2011ГОСТ Р 54582-2011ГОСТ Р 54582-2011ГОСТ Р 54582-2011ГОСТ Р 54582-2011ГОСТ Р 54582-2011
 




ГОСТЫ, СТРОИТЕЛЬНЫЕ и ТЕХНИЧЕСКИЕ НОРМАТИВЫ.
Некоммерческая онлайн система, содержащая все Российские Госты, национальные Стандарты и нормативы.
В Системе содержится более 150000 файлов нормативно-технической документации, действующей на территории РФ.
Система предназначена для широкого круга инженерно-технических специалистов.

Рейтинг@Mail.ru Яндекс цитирования

Copyright © www.gostrf.com, 2008 - 2026