Крупнейшая бесплатная информационно-справочная система онлайн доступа к полному собранию технических нормативно-правовых актов РФ. Огромная база технических нормативов (более 150 тысяч документов) и полное собрание национальных стандартов, аутентичное официальной базе Госстандарта. GOSTRF.com - это более 1 Терабайта бесплатной технической информации для всех пользователей интернета. Все электронные копии представленных здесь документов могут распространяться без каких-либо ограничений. Поощряется распространение информации с этого сайта на любых других ресурсах. Каждый человек имеет право на неограниченный доступ к этим документам! Каждый человек имеет право на знание требований, изложенных в данных нормативно-правовых актах!

  


 

ГОСТ Р 52633.6-2012

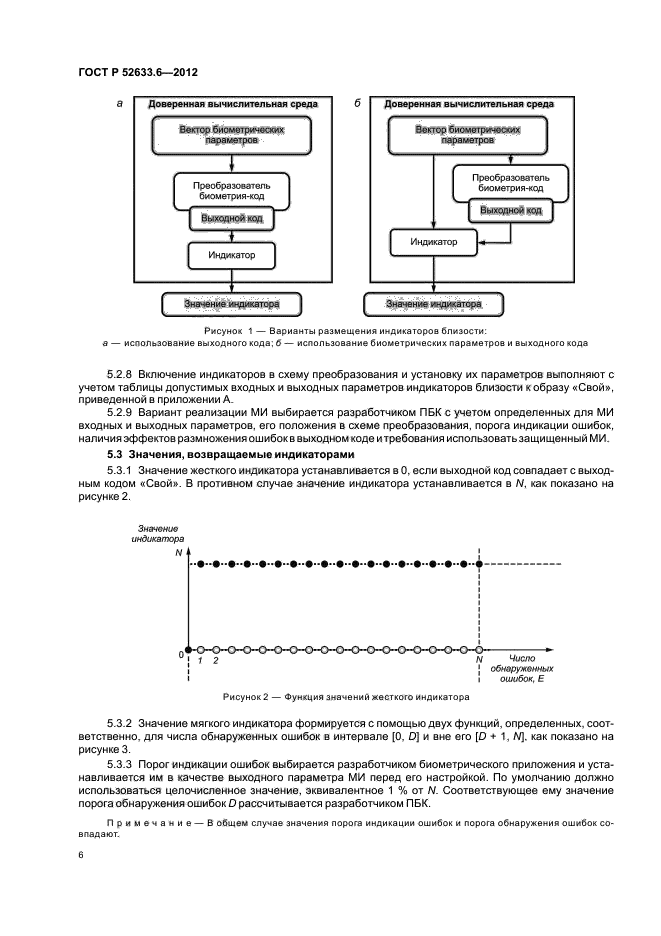
Защита информации. Техника защиты информации. Требования к индикации близости предъявленных биометрических данных образу «Свой»

Обозначение:ГОСТ Р 52633.6-2012
Текущий статус документа: действующий
Название документа рус.:Защита информации. Техника защиты информации. Требования к индикации близости предъявленных биометрических данных образу «Свой»
Название документа англ.:Information protection. Information protection technology. Requirements for fixing compliance between the captured biometric image and the «Owner» biometric image
Дата актуализации текста:01.12.2013
Дата издания:17.12.2012
Дата введения:01.12.2012
Дата последнего изменения:20.06.2013
Область применения:Настоящий стандарт распространяется на программные и аппаратно-программные средства высоконадежной биометрической аутентификации, выполненные по требованиям ГОСТ Р 52633.0-2006 и дополненные индикаторами близости предъявленных биометрических данных образу «Свой»
ГОСТ Р 52633.6-2012ГОСТ Р 52633.6-2012ГОСТ Р 52633.6-2012ГОСТ Р 52633.6-2012ГОСТ Р 52633.6-2012ГОСТ Р 52633.6-2012ГОСТ Р 52633.6-2012ГОСТ Р 52633.6-2012ГОСТ Р 52633.6-2012ГОСТ Р 52633.6-2012ГОСТ Р 52633.6-2012ГОСТ Р 52633.6-2012ГОСТ Р 52633.6-2012ГОСТ Р 52633.6-2012ГОСТ Р 52633.6-2012ГОСТ Р 52633.6-2012ГОСТ Р 52633.6-2012ГОСТ Р 52633.6-2012ГОСТ Р 52633.6-2012ГОСТ Р 52633.6-2012ГОСТ Р 52633.6-2012ГОСТ Р 52633.6-2012ГОСТ Р 52633.6-2012ГОСТ Р 52633.6-2012
 




ГОСТЫ, СТРОИТЕЛЬНЫЕ и ТЕХНИЧЕСКИЕ НОРМАТИВЫ.
Некоммерческая онлайн система, содержащая все Российские Госты, национальные Стандарты и нормативы.
В Системе содержится более 150000 файлов нормативно-технической документации, действующей на территории РФ.
Система предназначена для широкого круга инженерно-технических специалистов.

Рейтинг@Mail.ru Яндекс цитирования

Copyright © www.gostrf.com, 2008 - 2026