Крупнейшая бесплатная информационно-справочная система онлайн доступа к полному собранию технических нормативно-правовых актов РФ. Огромная база технических нормативов (более 150 тысяч документов) и полное собрание национальных стандартов, аутентичное официальной базе Госстандарта. GOSTRF.com - это более 1 Терабайта бесплатной технической информации для всех пользователей интернета. Все электронные копии представленных здесь документов могут распространяться без каких-либо ограничений. Поощряется распространение информации с этого сайта на любых других ресурсах. Каждый человек имеет право на неограниченный доступ к этим документам! Каждый человек имеет право на знание требований, изложенных в данных нормативно-правовых актах!

  


 

ГОСТ 31653-2012

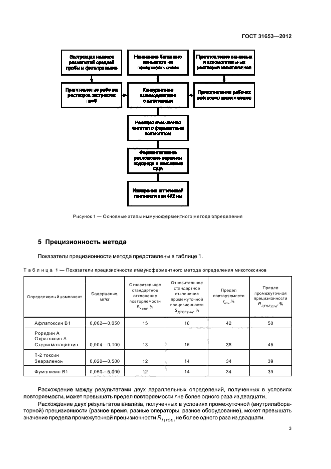
Корма. Метод иммуноферментного определения микотоксинов

Обозначение:ГОСТ 31653-2012
Текущий статус документа: действующий
Название документа рус.:Корма. Метод иммуноферментного определения микотоксинов
Название документа англ.:Feedstuffs. Method of immunoenzyme mycotoxin determination
Дата актуализации текста:01.12.2013
Дата издания:30.10.2012
Дата введения:01.07.2013
Дата последнего изменения:15.07.2013
Область применения:Настоящий стандарт устанавливает иммуноферментный метод определения содержания микотоксинов (афлатоксина В1, роридина А, охратоксина А, стеригматоцистина, Т-2 токсина, зеараленона, фумонизина В1) в кормах.
Настоящий стандарт распространяется на зерновые корма, зернобобовые кормовые культуры, искусственно высушенные и грубые корма, продукцию комбикормовой промышленности (комбикорма полнорационные, комбикорма-концентраты), сырье для производства кормов и кормовые добавки, за исключением кормовых добавок минерального происхождения и продукции органического синтеза
ГОСТ 31653-2012ГОСТ 31653-2012ГОСТ 31653-2012ГОСТ 31653-2012ГОСТ 31653-2012ГОСТ 31653-2012ГОСТ 31653-2012ГОСТ 31653-2012ГОСТ 31653-2012ГОСТ 31653-2012ГОСТ 31653-2012ГОСТ 31653-2012ГОСТ 31653-2012ГОСТ 31653-2012ГОСТ 31653-2012ГОСТ 31653-2012
 




ГОСТЫ, СТРОИТЕЛЬНЫЕ и ТЕХНИЧЕСКИЕ НОРМАТИВЫ.
Некоммерческая онлайн система, содержащая все Российские Госты, национальные Стандарты и нормативы.
В Системе содержится более 150000 файлов нормативно-технической документации, действующей на территории РФ.
Система предназначена для широкого круга инженерно-технических специалистов.

Рейтинг@Mail.ru Яндекс цитирования

Copyright © www.gostrf.com, 2008 - 2026