Крупнейшая бесплатная информационно-справочная система онлайн доступа к полному собранию технических нормативно-правовых актов РФ. Огромная база технических нормативов (более 150 тысяч документов) и полное собрание национальных стандартов, аутентичное официальной базе Госстандарта. GOSTRF.com - это более 1 Терабайта бесплатной технической информации для всех пользователей интернета. Все электронные копии представленных здесь документов могут распространяться без каких-либо ограничений. Поощряется распространение информации с этого сайта на любых других ресурсах. Каждый человек имеет право на неограниченный доступ к этим документам! Каждый человек имеет право на знание требований, изложенных в данных нормативно-правовых актах!

  


 

ГОСТ IEC 61107-2011

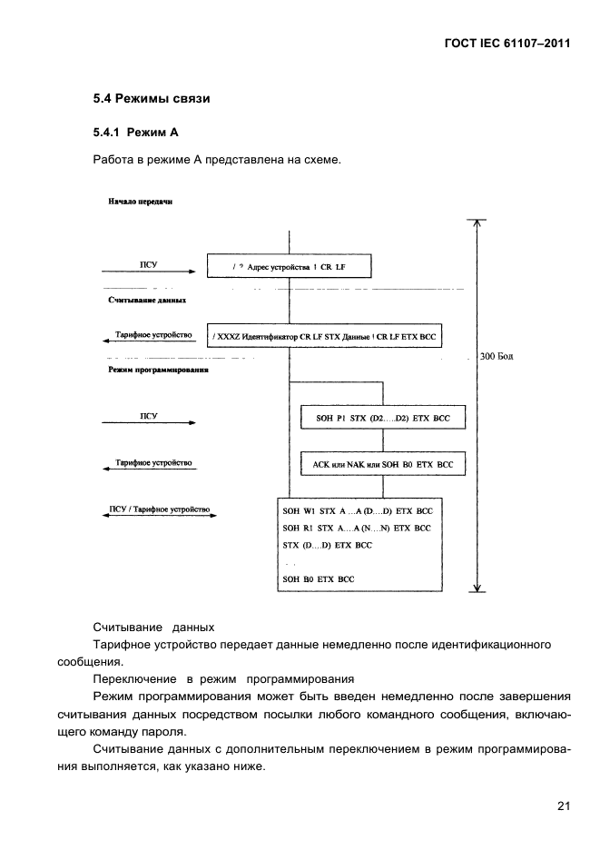
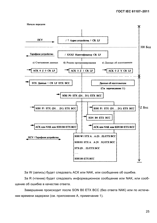
Обмен данными при считывании показаний счетчиков, тарификации и управлении нагрузкой. Прямой локальный обмен данными

Обозначение:ГОСТ IEC 61107-2011
Текущий статус документа: действующий
Название документа рус.:Обмен данными при считывании показаний счетчиков, тарификации и управлении нагрузкой. Прямой локальный обмен данными
Название документа англ.:Data exchange for meter reading, tariff and load control. Direct local data exchange
Дата актуализации текста:01.12.2013
Дата издания:06.07.2013
Дата введения:01.01.2013
Дата последнего изменения:16.07.2013
Область применения:Настоящий стандарт устанавливает требования, предъявляемые к аппаратным средствам и протоколам для локальных систем. Требования стандарта не распространяются на дистанционные системы.
Стандарт распространяется на прямые локальные системы, в которых портативное считывающее устройство соединяется с одним или группой тарифных устройств. Соединение может быть постоянным или разъемным. Возможны как электрические, так и оптические соединители. Электрический контакт рекомендуется использовать при постоянном соединении. Оптический соединитель должен быть легко отключаемым, чтобы обеспечить сбор данных с помощью портативного считывающего устройства
ГОСТ IEC 61107-2011ГОСТ IEC 61107-2011ГОСТ IEC 61107-2011ГОСТ IEC 61107-2011ГОСТ IEC 61107-2011ГОСТ IEC 61107-2011ГОСТ IEC 61107-2011ГОСТ IEC 61107-2011ГОСТ IEC 61107-2011ГОСТ IEC 61107-2011ГОСТ IEC 61107-2011ГОСТ IEC 61107-2011ГОСТ IEC 61107-2011ГОСТ IEC 61107-2011ГОСТ IEC 61107-2011ГОСТ IEC 61107-2011ГОСТ IEC 61107-2011ГОСТ IEC 61107-2011ГОСТ IEC 61107-2011ГОСТ IEC 61107-2011ГОСТ IEC 61107-2011ГОСТ IEC 61107-2011ГОСТ IEC 61107-2011ГОСТ IEC 61107-2011ГОСТ IEC 61107-2011ГОСТ IEC 61107-2011ГОСТ IEC 61107-2011ГОСТ IEC 61107-2011ГОСТ IEC 61107-2011ГОСТ IEC 61107-2011ГОСТ IEC 61107-2011ГОСТ IEC 61107-2011ГОСТ IEC 61107-2011ГОСТ IEC 61107-2011ГОСТ IEC 61107-2011ГОСТ IEC 61107-2011ГОСТ IEC 61107-2011ГОСТ IEC 61107-2011ГОСТ IEC 61107-2011ГОСТ IEC 61107-2011ГОСТ IEC 61107-2011ГОСТ IEC 61107-2011ГОСТ IEC 61107-2011ГОСТ IEC 61107-2011ГОСТ IEC 61107-2011ГОСТ IEC 61107-2011ГОСТ IEC 61107-2011ГОСТ IEC 61107-2011ГОСТ IEC 61107-2011ГОСТ IEC 61107-2011ГОСТ IEC 61107-2011ГОСТ IEC 61107-2011ГОСТ IEC 61107-2011ГОСТ IEC 61107-2011ГОСТ IEC 61107-2011ГОСТ IEC 61107-2011ГОСТ IEC 61107-2011ГОСТ IEC 61107-2011ГОСТ IEC 61107-2011ГОСТ IEC 61107-2011ГОСТ IEC 61107-2011ГОСТ IEC 61107-2011ГОСТ IEC 61107-2011ГОСТ IEC 61107-2011ГОСТ IEC 61107-2011ГОСТ IEC 61107-2011ГОСТ IEC 61107-2011ГОСТ IEC 61107-2011
 




ГОСТЫ, СТРОИТЕЛЬНЫЕ и ТЕХНИЧЕСКИЕ НОРМАТИВЫ.
Некоммерческая онлайн система, содержащая все Российские Госты, национальные Стандарты и нормативы.
В Системе содержится более 150000 файлов нормативно-технической документации, действующей на территории РФ.
Система предназначена для широкого круга инженерно-технических специалистов.

Рейтинг@Mail.ru Яндекс цитирования

Copyright © www.gostrf.com, 2008 - 2026