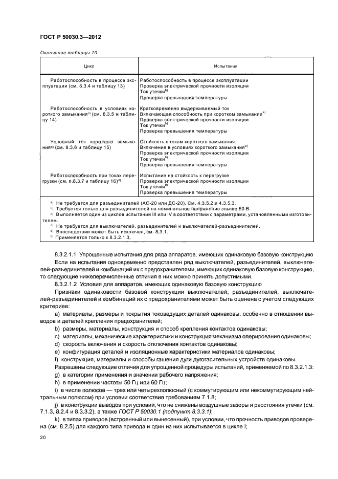
Крупнейшая бесплатная информационно-справочная система онлайн доступа к полному собранию технических нормативно-правовых актов РФ. Огромная база технических нормативов (более 150 тысяч документов) и полное собрание национальных стандартов, аутентичное официальной базе Госстандарта. GOSTRF.com - это более 1 Терабайта бесплатной технической информации для всех пользователей интернета. Все электронные копии представленных здесь документов могут распространяться без каких-либо ограничений. Поощряется распространение информации с этого сайта на любых других ресурсах. Каждый человек имеет право на неограниченный доступ к этим документам! Каждый человек имеет право на знание требований, изложенных в данных нормативно-правовых актах!

  


 

ГОСТ Р 50030.3-2012

Аппаратура распределения и управления низковольтная. Часть 3. Выключатели, разъединители, выключатели-разъединители и комбинации их с предохранителями

Обозначение:ГОСТ Р 50030.3-2012
Текущий статус документа: действующий
Название документа рус.:Аппаратура распределения и управления низковольтная. Часть 3. Выключатели, разъединители, выключатели-разъединители и комбинации их с предохранителями
Название документа англ.:Low-voltage switchgear and controlgear. Part 3. Switches, disconnectors, switch-disconnectors and fuse-combination units
Дата актуализации текста:01.12.2013
Дата издания:17.04.2013
Дата введения:01.01.2013
Дата последнего изменения:22.05.2013
Область применения:Настоящий стандарт распространяется на следующие аппараты:
выключатели, разъединители, выключатели-разъединители и комбинации их с предохранителями, предназначенные для использования в цепях распределения энергии или в цепях электродвигателей с номинальным напряжением до 1000 В переменного тока или до 1500 В постоянного тока.
Изготовитель обязан указать тип, номинальные значения параметров и характеристики всех встроенных предохранителей согласно соответствующему стандарту.
Стандарт не распространяется на аппараты, указанные в области применения стандартов ГОСТ Р 50030.2, ГОСТ Р 50030.4.1 и ГОСТ Р 50030.5.1
ГОСТ Р 50030.3-2012ГОСТ Р 50030.3-2012ГОСТ Р 50030.3-2012ГОСТ Р 50030.3-2012ГОСТ Р 50030.3-2012ГОСТ Р 50030.3-2012ГОСТ Р 50030.3-2012ГОСТ Р 50030.3-2012ГОСТ Р 50030.3-2012ГОСТ Р 50030.3-2012ГОСТ Р 50030.3-2012ГОСТ Р 50030.3-2012ГОСТ Р 50030.3-2012ГОСТ Р 50030.3-2012ГОСТ Р 50030.3-2012ГОСТ Р 50030.3-2012ГОСТ Р 50030.3-2012ГОСТ Р 50030.3-2012ГОСТ Р 50030.3-2012ГОСТ Р 50030.3-2012ГОСТ Р 50030.3-2012ГОСТ Р 50030.3-2012ГОСТ Р 50030.3-2012ГОСТ Р 50030.3-2012ГОСТ Р 50030.3-2012ГОСТ Р 50030.3-2012ГОСТ Р 50030.3-2012ГОСТ Р 50030.3-2012ГОСТ Р 50030.3-2012ГОСТ Р 50030.3-2012ГОСТ Р 50030.3-2012ГОСТ Р 50030.3-2012ГОСТ Р 50030.3-2012ГОСТ Р 50030.3-2012ГОСТ Р 50030.3-2012ГОСТ Р 50030.3-2012ГОСТ Р 50030.3-2012ГОСТ Р 50030.3-2012ГОСТ Р 50030.3-2012ГОСТ Р 50030.3-2012ГОСТ Р 50030.3-2012ГОСТ Р 50030.3-2012ГОСТ Р 50030.3-2012ГОСТ Р 50030.3-2012ГОСТ Р 50030.3-2012ГОСТ Р 50030.3-2012ГОСТ Р 50030.3-2012ГОСТ Р 50030.3-2012ГОСТ Р 50030.3-2012ГОСТ Р 50030.3-2012
 




ГОСТЫ, СТРОИТЕЛЬНЫЕ и ТЕХНИЧЕСКИЕ НОРМАТИВЫ.
Некоммерческая онлайн система, содержащая все Российские Госты, национальные Стандарты и нормативы.
В Системе содержится более 150000 файлов нормативно-технической документации, действующей на территории РФ.
Система предназначена для широкого круга инженерно-технических специалистов.

Рейтинг@Mail.ru Яндекс цитирования

Copyright © www.gostrf.com, 2008 - 2026